Publication

Research Article

Q4 | Volume 27

Head Rotation Impairs Balance and Walking in People With Mild to Moderate Multiple Sclerosis: A Pilot Study

Abstract

Background: People with multiple sclerosis (MS) have an increased risk of falls, which are often associated with changes in movement direction and preceded by head rotation (HR). We aimed to investigate the effects of HR on postural control and gait temporal parameters in people with MS compared with controls (Cs) and to quantify the number of strides required to correct gait after HR.

Methods: Eighteen people with MS (44.4 ± 9.9 years; 3.1 ± 1.5 Expanded Disability Scale Score) and 10 Cs (43.6 ± 10.3 years) participated. Postural control during a standing task on a force plate was assessed and quantified by center of pressure displacement. Gait was assessed by 2D sagittal video analysis and analyzed with Kinovea. After30 seconds of unperturbed walking on a treadmill, participants were instructed to turn their head to the left and walk on, followed by a right HR. The 10 strides after the HR were compared with the mean of normal walking strides. Inter- and intragroup comparisons were performed using a mixed model for repeated measurements. Hierarchical testing was used for stride analysis.

Results: While standing, people with MS performed worse in all conditions and increased center of pressure displacement after HR in comparison with Cs (P ≤ .05). While walking, both groups increased the relative stance phase after HR (P ≤ .05); however, people with MS reduced stride times (P ≤ .05), and Cs maintained them. After HR, people with MS needed 3 strides to normalize stride times back to baseline, versus 1 to none for Cs.

Conclusions: People with MS have higher transient imbalance while walking and standing after an HR compared with Cs.

From the Marianne-Strauß-Klinik, Behandlungszentrum Kempfenhausen für Multiple Sklerose Kranke gemeinnützige GmbH, Berg, Germany (MR, IK); the Department for Clinical Neurosciences and Preventive Medicine, Danube University, Krems an der Donau, Austria (MR); University MS Center, Hasselt Pelt, Belgium (CR, LM, PF); REVAL Rehabilitation Research Center, Faculty of Rehabilitation Sciences, Hasselt University, Belgium (CR, LM, PF); freelance instructor in Biomechanics, Kinetae, Barcelona, Spain (JVV-R); Institute of Psychoacoustics and Electronic Music, Faculty of Arts and Philosophy, Ghent University, Ghent, Belgium (LM); Department of Neurology, Ruhr University Bochum, Bochum, Germany (IK). Correspondence: Marianne Rösner, Marianne-Strauß-Klinik, Behandlungszentrum Kempfenhausen für Multiple Sklerose Kranke gemeinnützige GmbH, Milchberg 21, 82335 Berg, Germany; email: mroesner.rms@gmail.com.

Practice Points
  • Head rotation (HR) negatively affects balance and walking performance in people with multiple sclerosis (MS). Specifically, during walking, individuals with MS lose their walking rhythm for a few steps after head rotation, which represents a significant performance decline and may partly explain their increased risk of falling.
  • HR in functional settings should be incorporated into physical exploration.
  • HR could serve as a training element in all types of balance and fall prevention interventions.

Multiple sclerosis (MS) is an inflammatory demyelinating disease with the pathological hallmark of an accumulation of lesions in the white and gray matter of the brain and spinal cord that lead to a wide range of symptoms.1 A frequent complaint among people diagnosed with MS is loss of dynamic and static balance control.2,3 Approximately half of people with MS report at least 1 fall in a period of 3 months, and 35% report regular falls during a 6-month period.2-4 Eighty percent of falls can be associated with mobility tasks, and 60% of them occur during walking.5 Furthermore, people with MS usually report falls during activities of daily living, which are preceded by slips, stumbling, or changes in movement directions.5,6

Head rotation (HR) represents a pivotal component in the modification of movement direction, thereby presenting 2 significant challenges that must be surmounted. First, there is the shift of attention from the current to the new situation, which can be interpreted as a dual-task in real-life scenarios. It is well documented that situations that engender such interference can have a detrimental effect on gait and postural control in people with MS.7,8 Second, the maintenance of movement over time while ensuring balance control is a process governed by brain regions and networks associated with cognition, motor control, and sensory integration, which are frequently impaired in individuals with MS.9-14 Reweighting processes between sensory systems for intersensory integration is highly related to the reliability of sensory input via the proprioceptive system, the most sensitive and fastest responding system to balance perturbations over time.15-17 Nevertheless, it has been suggested that people with MS rely more on visual than on proprioceptive sensory input to control balance.18,19

Although studies in the past have concentrated on disease-related changes during unperturbed walking and balance tasks,2,3 along with the repercussions of assorted extrinsic disturbances on balance maintenance,20 the current study sought to shift the focus to the function of head rotation as a form of self-induced perturbation, discernible in routine activities. We hypothesized that, due to the accumulation of neurological deficits, people with MS would demonstrate an inadequate ability to cope with and/or modulate the perturbation induced by head rotation. We further hypothesized that people with MS would manifest a transitory decline in performance during standing and walking when compared with controls (Cs).

The objectives of this study were to investigate the role of HR on postural control during semistatic balance tasks and on gait temporal parameters during treadmill walking in people with MS compared with Cs. We further aimed to identify the number of strides to adapt and correct walking after the HR in people with MS compared with Cs.

Methods

Participants and Setting

People were recruited from an inpatient MS clinic and had to fulfill the following inclusion criteria: neurologist-confirmed diagnosis of MS according to 2017 McDonald criteria21; 18 years or older; Expanded Disability Status Scale (EDSS) score 1.0 to 5.5; disturbed balance while walking and standing as a main clinical problem stated by the patient and not primarily explained by muscle weakness, ataxia, or spasticity (as assessed by a clinical examination by an experienced physiotherapist); the ability to walk without assistive device for at least 150 m in 3 minutes; and the ability to perform barefoot, free, open-eye quiet standing for 30 seconds. Exclusion criteria were relapse or corticosteroid therapy in the past 3 months, newly prescribed medication with dizziness as a potential adverse effect in the 4 weeks prior to participation, cognitive deficits interfering with direct communication, and the presence of other pathology causing alterations in the locomotor system or balance. Age- and sex-matched healthy controls were recruited from the hospital staff. Written informed consent was obtained from all participants.

Clinical and demographic data of people with MS were obtained from their electronic medical records. All patients were examined following standardized protocols during the first 2 days after hospital admission by a multidisciplinary team, including physicians, physiotherapists, and occupational therapists. All people involved in the conduct and analysis of the study had long-term experience in the diagnosis and treatment of people with MS.

The study was conducted at the Behandlungszentrum Kempfenhausen für Multiple Sklerose Kranke gemeinnützige GmbH (Germany) in accordance with the Declaration of Helsinki and all applicable regulations. The protocol was approved by the ethics commission of the Bayerische Landesärztekammer (Bavarian Medical Association) in December 2019, and the study was registered at the German Clinical Trials Register (file number DRKS00018076).

Setup and Experimental Procedures

Experimental Setup

Participants with MS had a familiarization session the day before testing to prevent fatigue, to ensure that they would be able to walk safely on the treadmill, and to set a comfortable walking speed. For Cs, familiarization was performed on the day of testing, half an hour before the experimental procedures. The experimental setup is described in Figures 1 and 2.

Figure 1. Study Procedures

Figure 1. Study Procedures

Figure 2. Study Flowchart

Figure 2. Study Flowchart

Force Plate

The Stability Easy force plate (TechnoBody) was used to assess balance control. This rehabilitation training and testing device combines a highly sensitive force plate with an advanced software system for interpretation. Participants were instructed to fix their gaze on a black screen with a white cross, placed in front of them at eye level, while standing along the lines drawn on the plate in a V shape (malleolus medialis is always placed along the central line, coinciding with the axis of movement of the plate). They were asked to perform the standing task in 3 conditions: (1) quiet, standing with eyes open (30 seconds); (2) quiet, standing with eyes open combined with a left head turn at the fifth second and back to the center 3 seconds later until the end of the test (total time: 30 seconds), and (3) same parameters as condition (2), except with a right head turn. Signals were given acoustically (Figure 1B).

Treadmill

Participants were asked to walk on a treadmill (quasar med 50; h/p/cosmos) while secured with a harness and attached to a secure strap. All participants walked at a self-selected comfortable walking speed.

A motion capture system was used for 2-dimensional video recordings. Cameras were placed on the lateral left (Sony Alpha a6400 camera, 120 frames, ISO 100) and dorsal (Nikon 1 J5 camera; 60 frames; ISO 160) while LED-markers (LED-M, Kinetae) were placed on anatomical landmarks of the lower limb (metatarsi-V distal, malleolus lateralis, dorsal calcaneus, lateral knee [interarticular space], lateral thigh [under trochanter major in the line with knee and trunk], second thoracic vertebra [Th2], first sacral vertebra [S1]).

Walking speed was assessed the day before in a training session for people with MS to prevent fatigue, and on the test day, half an hour before testing, for Cs. Individual walking speed remained consistent throughout the trial. Before the video recording, a short warm-up was done for a maximum of 2 minutes until participants said they felt balanced and secure while walking. The experimental procedure consisted of a walking period (unperturbed) followed by walking after head rotations. Participants heard an audio signal, a beep, which instructed them to turn their head. The beep was verbally supported with left, right, and center. The first turn was left, and the second turn was right (Figure 1).

Each participant performed the complete standing task 2 times, of which the first execution was analyzed and the second served as a backup in case of inadequate adherence or technical errors.

Data Processing

Standing Condition

Balance parameters from the force plate were calculated by the force plate software (ProKin 252 Stability E, TechnoBody, Italy) using the Romberg test application. The displacement of the center of pressure (COP) was used such that COP velocity (mm/s) and area 95% (mm2) provided mean values and a maximum and minimum for each condition for the full length of 30 seconds. The parameters COP displacement (COPd), antero-posterior velocity, and medio-lateral velocity were subjected to statistical analysis.

Gait Condition

Raw temporal data from the 3-foot-LEDs were obtained from the video recordings and analyzed using the open-source software Kinovea version 0.9.1 and Microsoft Excel. The LED profiles from the forefoot and the heel were superimposed, so that the time span between maximum and minimum (points of movement inversion) could be read, showing the different gait phases. The initial swing was provided by the forefoot and the initial contact and midswing by the heel, resulting in a stance and a swing phase. The swing phase was further divided into 2 periods, early and late, identified by the turning point at maximal heel speed. A gait cycle was defined as the time span between 2 consecutive initial contacts of the heel of 1 leg, referred to as stride time, and was calculated in milliseconds. Gait phases were given in percentages.

Stride time was the primary outcome measurement, on the assumption that small perturbations could be overcome by adapting phases without the need to change stride time periodicity. The relation between stride times and gait phases provided an idea of the degree of imbalance experienced; the use of adaptive strategies was a secondary outcome. Only the first trial for each HR was analyzed.

Statistical Analysis

For the standing condition, a nonparametric test was used, since values were not normally distributed. A 2-factor analysis of variance with Friedman ranks was used for intragroup analysis, and the Wilcoxon-Mann-Whitney U test was used for intergroup analysis using a pairwise comparison. SPSS (IBM) was used for statistical analysis, as the SPSS Friedman test permitted the analysis of more than 2 time points simultaneously.

For the walking condition, a mixed model for repeated measurements was run via the JMP Pro 15 (SAS Institute) software, with a random effect of subjects in the model. The fixed variables were baseline values given in means and the 10 strides after HR, starting from the first initial contact after completion of the HR.

People with MS and Cs were analyzed separately for the comparison between baseline and perturbed conditions and time points. Afterward, an intergroup comparison of the overall means was done. The mean of the strides from 20 seconds of unperturbed walking was compared with: (1) each one of the 10 following strides (10-fSt) after left and right head rotation (post HRL/post HRR); (2) the mean of the 10-fSt; and (3) between the 10-fSt for the intragroup analysis.

Hypotheses were tested using a hierarchical testing model based on the work of Bauer et al.22 Three test levels were given. For detailed information about the hierarchical testing model, see Figure S1.

Figure S1. Statistic Tree

Figure S1. Statistic Tree

P values for stance and gait parameters were corrected with the Bonferroni correction where applicable. Group-level data are presented as means, SDs, and 95% CIs at a significance level of a less than or equal to .05.

Results

Demographic Data

Demographic and clinical data for the 10 Cs and 18 people with MS included in the experimental procedures are shown in Table 1. Two people with MS were unable to adapt to the treadmill and were excluded after the familiarization session.

Table 1. Demographic and Clinical Characteri

Table 1. Demographic and Clinical Characteristics

Comparison of Balance Tasks at Baseline and After Head Rotation

Intergroup analysis showed that people with MS and Cs differed in baseline values. During still stance, people with MS showed significantly larger COPd and increased anteroposterior velocities than Cs. Furthermore, people with MS performed worse than Cs for all test parameters during the conditions with HR.

Intragroup analysis of people with MS showed a significantly increased COPd and mediolateral velocity for the turn with right HR and a trend toward an increased COPd during the standing condition with the turn with HR left compared with baseline, whereas Cs showed no significant decline in performance. See Table 2.

Table 2. Intergroup Analysis

Table 2. Intergroup Analysis

Comparison of Gait at Baseline and After Head Rotation

Compared with Cs, people with MS showed significantly longer stride times while walking normally, with proportionally longer support and shorter swinging phases by a reduction in the relative time span between initial swing and mid swing. This was maintained post HRL and post HRR. Intragroup analysis revealed that people with MS shortened their stride times post HRL, whereas Cs maintained them. Both groups showed an increase in relative time of stance phase post HRL and post HRR, which was more pronounced for Cs (P = .0001) and less so for people with MS, reaching significance post HRL (P = .003) and a trend post HRR (P = .072). See Table 2.

Stride-to-Stride Analysis After Head Rotation While Walking

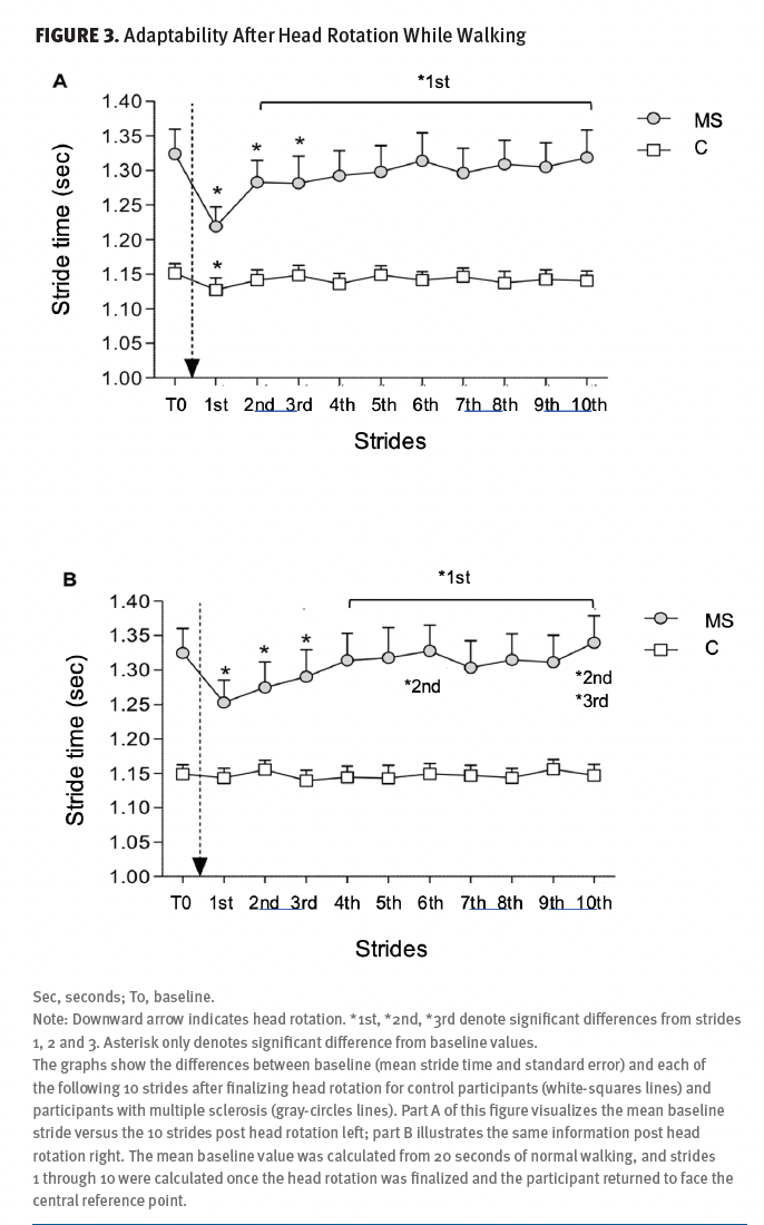
A 1-to-1 stride analysis showed significantly shorter stride times for the first 3 strides post HRL (for stride 1 P < .0001, stride 2 P = .013, stride 3 P = .006) and post HRR (for stride 1 P < .0001, stride 2 P = .001, stride 3 P = .02) in people with MS compared with baseline values. In contrast, the shortening of strides after HR was much less pronounced, and only the first stride post HRL was significantly shorter in Cs (P = .0031; Figure 3).

Figure 3. Adaptability After Head Rotation While Walking

Figure 3. Adaptability After Head Rotation While Walking

In people with MS, stride-1 post HR differed from all other strides, with the shortest stride time. The first stride post HRL differed from all other strides (P≤.02), and the first stride post HRR differed from baseline and strides 4 to 10 (P ≤ .02).

Left strides 2 and 3 showed no difference in stride time to the following strides after Bonferroni correction (significant value, P ≤ .005), while rightstride-2 had a shorter stride time compared with stride 6 (P = .0006) and 10 (P <.0001), and right stride-3 to stride-10 (P = .0014).

In addition, in people with MS, stride 2 and stride 3 post HRL had relatively longer stance phases in relation to baseline (P <.005) and a relatively longer stance phase and shorter swing phase compared with stride-1 (P≤.006).

In Cs, a 1-to-1 stride analysis showed that the first step post HRL was the only step to differ significantly from baseline with a shortened stride time (P = .0031) and increased relative swing time (P = .033). No other differences could be seen.

Discussion

Falls in people with MS frequently occur during activities of daily living. Nevertheless, little is known about the perturbation effect of inherent activity components, such as HR, for reorientation in space and its impact on balance control. This pilot study investigated the impact of an HR on a semistatic balance task and temporal gait parameter maintenance. We show that people with MS performed worse over almost all investigated parameters during stance and walking conditions in comparison to Cs. Moreover, people with MS showed a notable decline in performance after HR that was more pronounced while walking. People with MS needed 3 strides to regain pre-HR stride time behavior versus 1 to none for Cs. Further, the first stride post HR was significantly the shortest in time compared with almost all other measured stride times for people with MS. The main stance condition difference was an increase in COPd after HR in people with MS that was not seen in Cs.

Two of our study’s observations are novel. First, people with MS showed a decline in performance while walking and an increased number of strides to regain baseline stride time after HR compared with Cs. Second, people with MS had a different adaptive mechanism to overcome the perturbation effect of the HR than Cs. Cs adapted by adjusting their gait phases, while people with MS primarily shortened their stride times, followed by changes in gait phases.

Stride time and gait phase adaptations are both well-known adapting mechanisms in people with MS and Cs.3,23-25 If we assume that, in general, people overcome small perturbations by shifting gait phases with no decline in stride time periodicity, for people with MS, HR may present a challenge. Our results suggest that people with MS reacted to the perturbation repercussions, as they had limited control over the ongoing movement itself. It is known
that people with MS show a greater latency in activating adaptive mechanisms.20,26

Although spontaneous external perturbations only allow reactive adaptations, HR is usually a self-initiated movement, which would allow for proactive adaptability. External perturbations are central to perturbation-based balance training, which is a promising tool for fall prevention in healthy and frail older adults as well as in people with Parkinson disease and stroke.27-29 Perturbation-based training that includes navigating stability-challenging conditions has shown a 48% reduction in fall incidence in older adults, one of the most promising fall interventions.30 People with MS have been shown to benefit from perturbation-based training, although the effect on their fall incidence is not known.20,23 Thus, perturbation-based training could be considered a promising tool for fall prevention in people with MS, although little is known about what the training should contain.

We believe that adding HR in functional static and dynamic settings could enhance movement planning. Unlike external perturbation, which leads to immediate compensatory mechanisms, self-motivated HR has the capacity to induce reweighting of sensory inputs and planning abilities due to its anticipated nature. Clarifying the role of HR for stability control in people with MS is relevant not only because it can be a precursor to falls, but also because rehabilitation could be implemented in clinical practice at low cost.

The following limitations to our findings should be considered. First, we used an experimental technology to capture balance and gait performance. Video analysis was performed in a clinical setting with a 2D (not 3D) motion analysis system. The 2D recording provides reliable data for the ipsilateral leg in the lateral view, but less for the contralateral side because of image distortion, thus impeding data capture for double stance and segmental kinetics. Nevertheless, the results of previous studies have shown that there is a strong correlation between the spatiotemporal parameters obtained in 2D versus 3D, and that the discrepancy between systems is primarily related to marker size.31 In our study, LED markers were 3 mm instead of 4.5 cm, reducing placement errors significantly. For analysis of the stance phase, an error between 1% and 6% was reported between systems, which can be considered small, and even more so when considering marker size.

Second, we had only 18 participants, who had a notable variability in walking velocity. It is known that a comfortable walking speed equates to the participant having the most stability,32 and when walking at a comfortable speed, the walking performance of people with MS was most similar to that of Cs.33 However, it is also true that temporal changes in the gait phase can be related to walking velocity. We believe that in people with MS, the reduction in walking velocity is due to the disease process, rather than to a voluntary action, and changes in gait phases should be considered adaptations. To overcome this limitation, future studies should include a larger number of participants and a stratification for EDSS (low and moderate) and falls (people with falls versus people without falls), as well as HR repetitions in different situations. Further, over-ground walking allows for a greater variability of adaptive strategies compared with treadmillwalking,34 raising the question of how this might have influenced the findings.

Third, it should be noted that HRs were induced by an audio signal that was not timed to a specific stride phase, unlike a self-initiated movement. Future research should add a marker on the head to calculate the degree of rotation as well as the time between the audio signal and rotation onset. This would also enable an evaluation of the amount of rotation, ie, whether a person with balance problems turns their head sufficiently to see the desired object, but not farther than necessary.

Finally, with the aim of understanding the initial response to HR without motor learning through repetition, we performed only 1 HR analysis for each condition of the study, which may affect data extrapolation.

Conclusions

People with MS experience greater imbalance while standing, have a higher temporary gait disturbance while walking after HR, and a longer time to recovery of temporal gait parameters when compared with Cs. Further research is needed to fully understand the effect of HR on maintaining standing and walking balance to improve the assessment and treatment of balance disorders in people with MS.

Acknowledgments: We would like to thank all our colleagues from the diagnostics and medical teams of the Marianne-Strauß-Klinik, especially the physiotherapy team, for their engagement during the patient recruitment period. In particular, we would like to thank M. R. for technical support during the development phase of the study.

Previous Publication: This material was previously a poster presentation at the all-virtual Rehabilitation in Multiple Sclerosis conference, November 27-28, 2021.

Conflicts of Interest: Peter Feys, PhD, PT, is on the editorial boards of Frontiers in Rehabilitation Sciences, the Multiple Sclerosis Journal, and Neurorehabilitation and Neural Repair. He has been a consultant to Biogen and Neuro-Compass. Ingo Kleiter, MD, has received personal compensation for consulting, serving on a scientific advisory board, speaking, or other activities with Alexion, Almirall, Bayer, Biogen, GSK, Hexal, Horizon, Merck, Neuraxpharm, Roche/Chugai, and Sanofi. He is an editorial board member of BMC Neurology, Frontiers in Immunology, and Frontiers in Neurology. All other authors have declared no relevant conflicts of interest.

References

  1. Filippi M, Bar-Or A, Piehl F, et al. Multiple sclerosis. Nat Rev Dis Primers. 2018;4(1):43. doi:10.1038/s41572-018-0041-4

  2. Comber L, Sosnoff JJ, Galvin R, Coote S. Postural control deficits in people with multiple sclerosis: a systematic review and meta-analysis. Gait Posture. 2018;61:445-452. doi:10.1016/j.gaitpost.2018.02.018

  3. Comber L, Galvin R, Coote S. Gait deficits in people with multiple sclerosis: a systematic review and meta-analysis. Gait Posture. 2017;51:25-35. doi:10.1016/j.gaitpost.2016.09.026

  4. Matsuda PN, Shumway-Cook A, Ciol MA, Bombardier CH, Kartin DA. Understanding falls in multiple sclerosis: association of mobility status, concerns about falling, and accumulated impairments. Phys Ther. 2012;92(3):407-415. doi:10.2522/ptj.20100380

  5. Matsuda PN, Shumway-Cook A, Bamer AM, Johnson SL, Amtmann D, Kraft GH. Falls in multiple sclerosis. PM R. 2011;3(7):624-632. doi:10.1016/j.pmrj.2011.04.015

  6. Carling A, Forsberg A, Nilsagård Y. Falls in people with multiple sclerosis: experiences of 115 fall situations. Clin Rehabil. 2018;32(4):526-535. doi:10.1177/0269215517730597

  7. Santangelo G, Altieri M, Enzinger C, Gallo A, Trojano L. Cognitive reserve and neuropsychological performance in multiple sclerosis: a meta-analysis. Neuropsychology. 2019;33(3):379-390. doi:10.1037/neu0000520

  8. Wajda DA, Sosnoff JJ. Cognitive-motor interference in multiple sclerosis: a systematic review of evidence, correlates, and consequences. Biomed Res Int. 2015;2015:720856. doi:10.1155/2015/720856

  9. Cameron MH, Horak FB, Herndon RR, Bourdette D. Imbalance in multiple sclerosis: a result of slowed spinal somatosensory conduction. Somatosens Mot Res. 2008;25(2):113-122. doi:10.1080/08990220802131127

  10. Jørgensen M, Dalgas U, Wens I, Hvid LG. Muscle strength and power in persons with multiple sclerosis - a systematic review and meta-analysis. J Neurol Sci. 2017;376:225-241. doi:10.1016/j.jns.2017.03.022

  11. Minagar A, Barnett MH, Benedict RH, et al. The thalamus and multiple sclerosis: modern views on pathologic, imaging, and clinical aspects. Neurology. 2013;80(2):210-219. doi:10.1212/WNL.0b013e31827b910b

  12. Fling BW, Dutta GG, Schlueter H, Cameron MH, Horak FB. Associations between proprioceptive neural pathway structural connectivity and balance in people with multiple sclerosis. Front Hum Neurosci. 2014;8:814. doi:10.3389/fnhum.2014.00814

  13. Aruin AS, Kanekar N, Lee YJ. Anticipatory and compensatory postural adjustments in individuals with multiple sclerosis in response to external perturbations. Neurosci Lett. 2015;591:182-186. doi:10.1016/j.neulet.2015.02.050

  14. Jamali A, Sadeghi-Demneh E, Fereshtenajad N, Hillier S. Somatosensory impairment and its association with balance limitation in people with multiple sclerosis. Gait Posture. 2017;57:224-229. doi:10.1016/j.gaitpost.2017.06.020

  15. Fitzpatrick R, McCloskey DI. Proprioceptive, visual and vestibular thresholds for the perception of sway during standing in humans. J Physiol. 1994;478(Pt1):173-186. doi:10.1113/jphysiol.1994.sp020240

  16. Peterka RJ. Sensorimotor integration in human postural control. J Neurophysiol. 2002;88(3):1097-1118. doi:10.1152/jn.2002.88.3.1097

  17. Krauss EM, Misiaszek JE. Phase-specific modulation of the soleus H-reflex as a function of threat to stability during walking. Exp Brain Res. 2007;181(4):665-672. doi:10.1007/s00221-007-0962-8

  18. Yang F, Liu X. Relative importance of vision and proprioception in maintaining standing balance in people with multiple sclerosis. Mult Scler Relat Disord. 2020;39:101901. doi:10.1016/j.msard.2019.101901

  19. Craig JJ, Bruetsch AP, Lynch SG, Huisinga JM. Altered visual and somatosensory feedback affects gait stability in persons with multiple sclerosis. Hum Mov Sci. 2019;66:355-362. doi:10.1016/j.humov.2019.05.018

  20. Mohamed Suhaimy MSB, Okubo Y, Hoang PD, Lord SR. Reactive balance adaptability and retention in people with multiple sclerosis: a systematic review and meta-analysis. Neurorehabil Neural Repair. 2020;34(8):675-685. doi:10.1177/1545968320929681

  21. Thompson AJ, Banwell BL, Barkhof F, et al. Diagnosis of multiple sclerosis: 2017 revisions of the McDonald criteria. Lancet Neurol. 2018;17(2):162-173. doi:10.1016/S1474-4422(17)30470-2

  22. Bauer P, Röhmel J, Maurer W, Hothorn L. Testing strategies in multi-dose experiments including active control. Stat Med. 1998;17(18):2133-2146. doi:10.1002/(sici)1097-0258(19980930)17:18<2133::aid-sim901>3.0.co;2-2

  23. Yang F, Su X, Wen PS, Lazarus J. Adaptation to repeated gait-slip perturbations among individuals with multiple sclerosis. Mult Scler Relat Disord. 2019;35:135-141. doi:10.1016/j.msard.2019.07.019

  24. Lee BC, Kim CS, Seo KH. The body’s compensatory responses to unpredictable trip and slip perturbations induced by a programmable split-belt treadmill. IEEE Trans Neural Syst Rehabil Eng. 2019;27(7):1389-1396. doi:10.1109/TNSRE.2019.2921710

  25. Gholizadeh H, Hill A, Nantel J. The effect of various arm and walking conditions on postural dynamic stability when recovering from a trip perturbation. Gait Posture. 2020;76:284-289. doi:10.1016/j.gaitpost.2019.11.010

  26. Huisinga JM, St George RJ, Spain R, Overs S, Horak FB. Postural response latencies are related to balance control during standing and walking in patients with multiple sclerosis. Arch Phys Med Rehabil. 2014;95(7):1390-1397. doi:10.1016/j.apmr.2014.01.004

  27. McCrum C, Karamanidis K, Grevendonk L, Zijlstra W, Meijer K. Older adults demonstrate interlimb transfer of reactive gait adaptations to repeated unpredictable gait perturbations. Geroscience. 2020;42(1):39-49. doi:10.1007/s11357-019-00130-x

  28. Gerards MHG, McCrum C, Mansfield A, Meijer K. Perturbation-based balance training for falls reduction among older adults: current evidence and implications for clinical practice. Geriatr Gerontol Int. 2017;17(12):2294-2303. doi:10.1111/ggi.13082

  29. Mansfield A, Wong JS, Bryce J, Knorr S, Patterson KK. Does perturbation-based balance training prevent falls? Systematic review and meta-analysis of preliminary randomized controlled trials. Phys Ther. 2015;95(5):700-709. doi:10.2522/ptj.20140090

  30. Hamed A, Bohm S, Mersmann F, Arampatzis A. Follow-up efficacy of physical exercise interventions on fall incidence and fall risk in healthy older adults: a systematic review and meta-analysis. Sports Med Open. 2018;4(1):56. doi:10.1186/s40798-018-0170-z

  31. Zult T, Allsop J, Tabernero J, Pardhan S. A low-cost 2-D video system can accurately and reliably assess adaptive gait kinematics in healthy and low vision subjects. Sci Rep. 2019;9(1):18385. doi:10.1038/s41598-019-54913-5

  32. Reynard F, Terrier P. Determinants of gait stability while walking on a treadmill: a machine learning approach. J Biomech. 2017;65:212-215. doi:10.1016/j.jbiomech.2017.10.020

  33. Remelius JG, Jones SL, House JD, et al. Gait impairments in persons with multiple sclerosis across preferred and fixed walking speeds. Arch Phys Med Rehabil. 2012;93(9):1637-1642. doi:10.1016/j.apmr.2012.02.019

  34. Siragy T, Russo Y, Young W, Lamb SE. Comparison of over-ground and treadmill perturbations for simulation of real-world slips and trips: a systematic review. Gait Posture. 2023;100:201-209. doi:10.1016/j.gaitpost.2022.12.015

Related Videos
IJMSC January 2026 Research
IJMSC December Research