Publication
Research Article
International Journal of MS Care
Author(s):
People with multiple sclerosis (MS) experience mobility impairments that elevate fall risk, increasing the need to identify clinical measures that accurately predict falls. Backward walking (BW) better differentiates fallers from nonfallers in MS. However, no studies have reported the measurement properties of the backward walking Timed 25-Foot Walk (B-T25-FW) and BW metrics, like BW velocity. Additionally, it is unknown whether BW can predict future falls in MS or its link to activity levels. This study assessed the reliability and responsiveness of B-T25-FW and BW metrics, including BW velocity. It also examined whether BW could predict falls at 3 and 6 months and its association with activity levels.
During 2 separate visits, 23 people with MS completed the forward walking Timed 25-Foot Walk (F-T25-FW) and B-T25-FW, as well as forward walking and BW assessments in which spatiotemporal measures were recorded. Test-retest reliability was determined with intraclass correlation coefficients, and minimum detectable changes were calculated. Correlation analyses explored the relationship between BW velocity, B-T25-FW, prospective falls, and activity levels.
B-T25-FW and BW velocity exhibited excellent test-retest reliability. Large effect sizes to interpret clinically meaningful change in the B-T25-FW and BW velocity were also found. Both metrics demonstrated modest negative correlations with falls at 3 and 6 months and correlated strongly with very active minutes at 3- and 6-months post study.
The B-T25-FW and BW velocity are effective and reliable in clinical use for evaluating functional mobility in people with MS, are sensitive enough to detect subtle changes, and may be a meaningful marker for tracking disease progression and treatment efficacy.
People with multiple sclerosis (MS) experience mobility (ie, walking, balance) and cognition (ie, information processing speed, memory, and attention) impairments,1,2 both of which contribute to accidental falls. Falls are common and expensive; more than 50% of people with MS experience falls within a 6-month period,3 and the average hospital cost for an injurious fall is greater than $30,000.4 Importantly, falls negatively impact quality of life,5 contributing to activity curtailment and social isolation.6,7 The adverse health and quality-of-life consequences of falls underscore the critical need to identify clinical measures that accurately predict falls in MS. Current measures to determine fall risk in people with MS have focused on forward walking (FW) and balance performance; however, these measures are no greater than chance to predict falls in MS.8,9 Similarly, the current standard of motor progression and performance used in MS clinical trials is the Timed 25-Foot Walk (T25-FW), which relies on FW performance. Change in fall risk is not typically included as an end point in clinical trials due to a lack of sensitive measures for fall prediction.
Backward walking (BW) is a viable and sensitive assessment of fall risk that may curtail such limitations. BW stepping is ubiquitous in daily life and a common activity of daily living (ie, opening a door). Continuous BW is a more cognitively demanding task, posing higher attentional and cognitive resources for successful movement execution.10 Compared with FW, BW is more complex and increases reliance on proprioception.11 Moreover, people with MS demonstrate more pronounced motor deficits when walking backward compared to when walking forward.12 Similarly, deficiencies in stepping and postural control are more pronounced during BW compared with FW in people with MS and are significantly associated with increased severity on clinical measures of walking and disability.13 BW has also been associated with retrospective falls in the older population,14 people with MS,15 and people with other neurodegenerative diseases.11,16
Previous studies have demonstrated the validity and reliability of the 3-m BW test in older adults and in people with Parkinson disease and stroke.17,18 In MS, 3 recent studies have examined the reliability of a 3-m BW test and all found that it had excellent test-retest reliability and minimum detectable changes (MDCs) ranging from 0.50 seconds to 1.69 seconds.19-21 Furthermore, the 3-m BW test also demonstrates moderate to strong correlations with the Expanded Disability Status Scale (EDSS) as well as other clinical measures of balance and mobility in people with MS,19 including the Timed Up and Go (TUG),19-21 Berg Balance Scale,19 Four Square Step Test,19 Falls Efficacy Scale,19 2-Minute Walk Test (2MWT),20 Multiple Sclerosis Walking Scale-12,20 Dynamic Gait Index,21 Functional Reach Test,21 and fall history.21 BW may be a sensitive clinical outcome tool for monitoring disease change or progression; however, no studies have evaluated measurement properties of BW velocity or the backward-walking Timed 25-Foot Walk (B-T25-FW), nor have any trials evaluated the predictive utility of BW for prospective falls in MS. Evaluating the measurement properties of BW metrics permits the translation of these study findings into clinical settings, providing a quick, cost-effective, and reliable mobility assessment tool for people with MS.
The objectives of this study were to (1) establish reliability and responsiveness of the B-T25-FW and BW metrics, including BW velocity; (2) establish feasibility and sensitivity of BW metrics for 3- and 6-month fall prediction; and (3) examine relationships among BW metrics and activity level. We hypothesized that the B-T25-FW and BW velocity would demonstrate good reliability and be significantly related to prospective falls and activity levels at the 3-month and 6-month poststudy visits. Confirmation of these hypotheses would further support the use of BW as a clinical tool in the evaluation of lower extremity function and improve the detection of fall risk in people with MS.
All study procedures were approved by the Wayne State University Institutional Review Board, and all study participants signed an informed consent form prior to participation. Participants were included if they were aged 18 years or older, had been diagnosed with relapsing-remitting MS using the McDonald criteria,22 and reported a Patient-Determined Disease Steps (PDDS) score equal to or greater than 6,23,24 indicating the ability to ambulate with or without an assistive device 50% of the time or more. Participants were excluded if they had an MS relapse/exacerbation within the past 30 days (but they could become eligible after 30 days had passed), a comorbid neurological disorder (ie, stroke, dementia) or other condition that would impact cognitive or motor function, or were unable to follow study-related commands. Participants were able to use an assistive device for the walking assessments, but were then required to use the same assistive device for both testing visits. Participation in the study involved 2 testing visits separated by 1 week and a 6-month monitoring period following testing.
At visit 1, participants signed the informed consent form before participating in walking tests and survey measures.
Forward Timed 25-Foot Walk (F-T25-FW). Participants completed 2 trials of the F-T25-FW at both a comfortable pace and a fast pace. Participants were instructed to walk at a selfselected pace for comfortable trials and as quickly and safely as possible for fast trials. Aligning with the instructions for the T25-FW, participants started each trial with their feet at the starting line; time was started when the first foot crossed the starting line and stopped when the first foot crossed the finish line. Participants wore a gait belt and were accompanied by a member of the research team to ensure safety during all trials. The time taken to complete the F-T25-FW was the primary outcome measure. The T25-FW is a reliable and valid measure in persons with MS.25
B-T25-FW. Participants completed 2 trials of the B-T25-FW at both a comfortable pace and a fast pace. Participants were instructed to look straight ahead (rather than at their feet) for all trials. The time taken to complete the B-T25-FW was recorded. We have previously demonstrated the validity of the B-T25-FW.26
GAITRite forward. Participants completed 2 walking trials at a comfortable walking speed, followed by 2 walking trials at a fast-paced walking speed in the forward direction. They started walking 2 m before a 4.6-meter GAITRite mat and ended their walk 2 m after it allowing for acceleration and deceleration phases on and off of the GAITRite walkway. The GAITRite is an electronic walkway embedded with sensors that detect footfalls in real time and calculates the spatial and temporal parameters of the 4 averaged trials. GAITRite has been shown to produce reliable data in persons with MS.27 We selected the following variables a priori—velocity, stride length (spatial measure), and double support time (temporal measure), as well as stride length and double support time variability calculated with coefficients of variability (CV)—as they have been shown to relate to balance in persons with MS and other neurodegenerative diseases.28
GAITRite backward. Participants completed 2 walking trials at their comfortable walking speed, followed by 2 walking trials at their fast-paced walking speed in the backward direction over the GAITRite walkway. Participants were instructed to look straight ahead (rather than at their feet) for all trials. The variables used in the analysis were the same as those recorded in the GAITRite forward assessment.
REDCap was used to collect survey measures of disease severity using the PDDS as well as demographics, including age, sex, and disease duration.23,24 One week later, at visit 2, participants repeated the F-T25-FW and B-T25-FW. The same raters administered the walking tests at both visits. Participants were fitted with a Fitbit Versa 2 smartwatch that passively captured physical activity data for the following 6 months using Fitabase (Fitabase) software. The Fitbit Versa 2 estimates movement (eg, different intensities of active minutes) using a triaxial accelerometer and metabolic equivalent minutes based on a combination of basal metabolic rate (adjusted for sex, age, height, and weight), accelerometry-based activity counts, and heart rate measured through optical sensors.29,30 From the Fitabase app, we derived outcome metrics, including sedentary minutes, lightly active minutes, fairly active minutes, very active minutes, and total number of steps. Participants were instructed to wear the Fitbit device as much as possible over the 6-month monitoring period. Participants received weekly survey prompts (REDCap) for the following 6 months to quickly report falls and near-falls. The prompts asked, “Did you have any falls this past week?” with options of yes and no. If participants answered yes, they were prompted with “How many?” Next, they were asked, “Did you have any near-falls this past week?” with options of yes and no. Again, if the participant answered yes, they were prompted with “How many?”
For the first study objective, test-retest consistency was estimated with an intraclass correlation coefficient (ICC) in a 2-way mixed model, assuming fixed raters and random participant error (ICC[3,1]).31 Measurement consistency is indexed on a continuum, and by convention, we considered reliability above 0.85 to indicate good-to-excellent reliability (eg, less than 15% measurement error). Interpretation of 95% CIs provides additional guidance on the plausible range of reliability within the population represented by the sample, and a lower bound no less than 0.60 is recommended (ie, 40% measurement error, at most).
In addition to consistency, the minimum detectable change at 95% CI (MDC95) is reported to provide guidance on clinically meaningful effect sizes on the original measurement scales. The MDC95 is calculated via an estimate of the absolute measurement error (ICC[2,1]) reliability statistic and sample variance (SD), ie, MDC95 = 1.96 × √2 × SEM; where SEM = SD × √(1-ICC[2,1]).31 In this application, we assume that no meaningful change occurred over the study delay between measurements, and any variability would indicate error measured as pooled sample SD across all participants and both time points. To assess potential bias, discrepancy scores (Time 2–Time 1) were tested for an association with participant age (continuous, 25-67) and PDDS (ordinal, 0-4) with Spearman ρ correlations (α = 0.05).
Prior to analysis, univariate distributions were screened for skew, kurtosis, and outliers. A total of 32 variables were measured twice, and of the 64 univariate distributions, approximately half presented with a statistically significant positive skew, or leptokurtosis, that would contraindicate assuming a normal distribution. Normal distributions are not required for valid ICC estimates, and the departures from normality described in this sample are expected to result in a small amount of underestimation for ICC (biasing away from the outcome of interest).32 Nonparametric correlations for the bias analysis also do not require a normal distribution for unbiased estimates. A sample of 23 individuals completed assessments, with incomplete data for 1 individual. Univariate outlier screening (z score > | 3.29 |) identified 5 individuals with at least 1 extreme value at either time point. The analysis is reported for the total available sample with pairwise deletion on variables with missing data, and the analysis was repeated after removing cases with outlier values listwise, as a conservative estimate, to ensure no bias in the estimate across measures (n = 18).
For the second study objective, BW comfortable velocity and B-T25-FW comfortable velocity were correlated with the number of observed falls and near-falls at 3 and 6 months following the assessment. The 2 repeated measures from the reliability procedure were averaged for the purpose of this analysis. Based on the observed data distributions, Spearman ρ correlations are reported, and to mitigate potential bias from sample size, the parameters were bootstrapped (10,000 draws) to calculate bias-corrected and accelerated bootstrapped 95% CI. A number of individuals did not fall over the observed period, and therefore, additional independent sample t tests were computed to compare fallers and nonfallers at each occasion.
For the third study objective, exploratory analysis with monitored activity data collected 3 and 6 months after the evaluation included correlations and group differences in total steps, duration of different activity levels, and sedentary time. In this analysis, 1 individual was removed due to low adherence to wearing the monitor.
Twenty-three participants with relapsing-remitting MS participated in the trial. Demographic information can be found in TABLE 1.
Participant Demographics

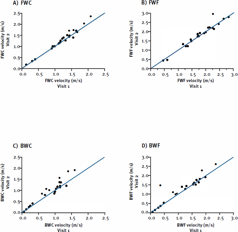
With the exception of performance measured by coefficients of variation (CV; highlighted in gray in TABLE 2), all measures had acceptable test-retest reliability (ICC[3,1)]> 0.85), with the majority indicating excellent consistency (values ranging from 0.93-0.99, ie, 1%-7% measurement error). Repeating the analysis excluding cases with outlier values listwise reproduced the pattern of effects, in most cases incrementally improving already excellent reliability across measures, except for BW fast double-stance time (BWF_DSTime), that changed from 0.864 in the total sample to 0.805 in the selected sample. FIGURE S1 highlights the reliability of velocity and B-T25-FW measures in both comfortable and fast conditions.
Test-Retest Measurement Consistency

Test-Retest Measurement Consistency for BW and FW

All ICC estimates that met this minimum threshold also had 95% CIs that excluded 0.60 and, in most instances, showed excellent precision within approximately 0.05 to 0.07 units of the mean estimate. Together, this indicates that these measurements would be highly reliable in the population represented by the sample even at the lower confidence interval. As the CV measures did not meet the reliability criterion (Table 2), they were removed from further analyses.
Among the variables that were determined to have good test-retest consistency, the MDC95 (Table 2, Table S1) suggests moderate to large effect sizes to interpret clinically meaningful change in the FW (Cohen d = 0.36-0.76) and BW metrics (d = 0.44-0.76; except BWF_DSTime, d = 1.00). Based on this assessment of reliability and MDC, a study with a sample size of 50 would be sufficient to detect mean change across indices to significance (α = 0.05, power = 0.80).
Test-Retest Agreement and Minimum Detectable Change Estimates

The bias analysis identified no systematic correlations of age (all r = |0.01| - |0.31|) or PDDS (all r = |0.03| - |0.37|) with most of the assessment measures, indicating negligible bias in test-retest measurement in this sample. The exception was the correlation of F-T25FW with PDDS (r = –0.512, P < .05), which indicated lower measurements at retest in individuals with greater symptom severity (Table 2).
Twelve of 23 participants reported falls (sample range = 0-8 falls, median (Mdn) = 1; range 0-40 near-falls, Mdn = 4.00) at the 3-month follow-up. By the 6-month follow-up, 14 participants had reported falls (sample range = 0-10 falls, Mdn = 1.00; range = 1-71 near-falls, Mdn = 12.00). Average BW velocity had a modest negative correlation with the number of falls at 3 and 6 months. A similar magnitude of correlation for falls at 3 months and 6 months was observed with B-T25-FW. Correlations with FW velocity and FW-T25FW were similar in magnitude. Correlations between BW and FW outcomes can be seen in TABLE S3. Comparing fallers to nonfallers, no group difference in BW or FW was statistically significant at 3 months (all t (21) = –0.98-1.08, all P > .15) or 6 months (all t (21) = –0.73-1.30, all P > .10). However, this is likely due to the tests being underpowered in this sample. Among this set of variables at 6 months, the group difference in BW velocity was moderately large (Cohen d = 0.56), followed by FW velocity (d = 0.47), F-T25-FW (d = –0.31), and B-T25-FW (d = 0.06).
Correlation of Participant Demographics With Test-Retest Discrepancy

Correlation of BW and FW Outcomes With Reported Falls at 3 and 6 Months

Average BW velocity (ρ = 0.51, P = .016) and B-T25-FW (ρ = –0.51, P = .016) significantly correlated with very active minutes at 3 months and similarly at 6 months (ρ = 0.49, P = .02 BW velocity; ρ = –0.46, P = .03 B-T25-FW, respectively). F-T25-FW was associated with the total number of steps (ρ = –0.43, P = .047) and very active minutes (ρ = –0.46, P = .03) at 3 months only. All other correlations between walking and activity measures were not statistically significant (TABLE S4).
Correlation of BW and FW Outcomes With Activity Level at 3 and 6 Months

The main finding of our study establishes the reliability of the B-T25-FW test as a functional mobility assessment tool for people with MS. Our study builds on previous research establishing the reliability and validity of the 3-m BW test as a mobility assessment tool in people with MS20,21,33; however, our study is novel, as we are the first to establish the reliability of the B-T25-FW test. Previous studies assessing the 3-m BW test showed excellent interrater reliability, test-retest reliability, strong correlations with clinical measures, and the ability to discriminate fallers from nonfallers.19,21 The F-T25-FW is a valid and reliable assessment of mobility and lower extremity function in people with MS,25,34 and impaired performance in this assessment has been associated with increased frequency of falls in people with MS.35 Furthermore, whereas poorer performance on the 3-m BW test has been associated with longer durations of the F-T25-FW,19 we demonstrate that the B-T25-FW test is a reliable assessment that can be used in assessing physical function and mobility in people with MS (Table 2). Our analysis also extends previous studies examining the reliability of BW, as we include a more comprehensive range of disabilities. For example, our sample of participants demonstrated PDDS scores of 0 to 6, whereas previous studies included only individuals with EDSS ranges of 1 to 319 and 1.5 to 4.5.21 Therefore, our results highlight the reliability of the B-T25-FW test and BW metrics across a range of disability levels, enhancing the generalizability and translation of our outcomes and reflecting the distinct heterogeneity of MS.
BW velocity demonstrated excellent test-retest reliability (Table 2) in our sample. BW velocity is a sensitive marker for distinguishing fallers from nonfallers in people with MS, with work from our laboratory highlighting that BW velocity accurately classified 71.1% of MS fallers and MS nonfallers.15 Therefore, our study provides essential measurement properties for a critical outcome variable routinely used in lower extremity function evaluation in people with MS.
In addition, we assessed the measurement properties of other spatiotemporal BW parameters in people with MS, including stride length, double support time, and their variability. During BW, people with MS with a retrospective fall history previously exhibited shorter stride lengths and longer durations in double support than those without a fall history.15
Previous studies developing the reliability and validity of the 3-m BW test failed to include other spatiotemporal gait metrics. Our study highlights that BW walking metrics (excluding stride length variability and double support time variability) showed excellent consistency with values ranging from 0.93 to 0.99 (Table 2). Furthermore, we report and assess these BW spatiotemporal measures of gait at preferred and fast walking speeds, both of which were previously not reported. Interestingly, variability measures of stride length, double support time, and stance time during forward and backward walking may be less reliable, as indicated in Table 2. This may be partly explained by the diverse range of disabilities included in our study. The selection of reliable outcome metrics is pivotal in clinical measurements, including BW, either to diagnose or track disease progression throughout an intervention, and our study outcomes provide necessary and warranted contributions to enhance the selection of pertinent outcomes.
Our findings also highlight the responsiveness of the B-T25-FW and BW metrics, indicating that they are both sensitive enough to detect MDC and substantial changes in BW performance in people with MS. For example, we report moderate to large effect sizes to interpret clinically meaningful changes in the B-T25-FW and BW metrics (Table 2, Table S1). Our study is the first to note MDC values for the B-T25-FW and BW metrics, and we demonstrate that they are reliable and valid outcome measures and are responsive and sensitive to detect meaningful change in BW performance in people with MS. This further enhances the clinical and practical significance of incorporating the B-T25-FW and BW metrics into functional mobility assessments in people with MS, highlighting that BW velocity is sensitive to subtle changes and may be an important marker for tracking disease progression and treatment efficacy.
We also examined the relationship between BW outcomes (B-T25-FW and BW velocity) and falls at the 3-month and 6-month poststudy visits. Both BW velocity and B-T25-FW results showed modest negative correlations with falls at these time points. Several studies have also highlighted the sensitivity of BW in distinguishing fallers from nonfallers in various populations, including older adults,14,36 those with Parkinson disease,11 and those with MS.15 Söke and colleagues reported a cutoff time of 7.86 seconds during the 3-m BW test as a marker to distinguish fallers from nonfallers.19 However, it is important to note that many prior studies on BW and falls in people with MS relied on retrospective recall, which may underestimate fall incidents.37 Although our study reported no group differences between fallers and nonfallers in any of the BW metrics at 3 months or 6 months, this may be a consequence of the limited sample size. This might reflect a limitation within our study, and perhaps reflect weak evidence toward validating BW as a fall-prediction tool, but we argue that these are still meaningful and valuable data that can aid research and future study designs concerning fall prevention in people with MS. Notably, examination of effect sizes revealed that BW velocity (moderately large: Cohen d = 0.56) had the largest effect at prospective falls at 6 months, which corroborates previous research highlighting the sensitivity of BW velocity as a critical clinical marker of fall risk in people with MS.15 Therefore, our study’s novel approach to exploring relationships with prospective falls in our limited sample of participants with MS is important to developing a fall-risk detection tool for this population but should be explored with larger samples.
Our study revealed a significant relationship between BW metrics and activity level in people with MS. BW velocity and B-T25-FW correlated with very active minutes at 3 and 6 months poststudy. Further exploration of this relationship is pivotal, as impairment in ambulation (and, consequently, limitation in completing activities of daily living) is one of the most common symptoms reported by people with MS.38 Evaluating functional mobility with ecological validity is crucial. Although clinical assessments like the T25-FW measure walking capacity, they may not reflect real-world ambulation.39 Previous research has reported that continuously monitoring daily steps was associated with disability and other clinical functional tests in people with MS, such as TUG and 2MWT.40 A recent study by Block and colleagues also highlighted the importance of considering not only steps but also the intensity of activity and reported a model consisting of high, moderate, and low activity intensities.41 Our study is one of the first to explore the BW-activity relationship in people with MS, revealing that faster BW velocity and quicker B-T25-FW completion correlate with a greater number of very active minutes over the subsequent 3 and 6 months. These findings provide valuable insights for future studies examining factors that may influence the relationship between BW and activity levels in people with MS.
Our study has limitations. The small sample size of 23 individuals with MS may have affected our ability to determine the predictive validity of BW as a fall-risk indicator in this population. Although this limitation may have influenced our ability to identify significant relationships between BW and falls and differences between fallers and nonfallers at the 3- and 6-month intervals, we believe this limited dataset addresses gaps in the existing literature. Our study offers valuable evidence supporting the use of prospective fall data in the development of sensitive fall prediction measures for people with MS. It also expands upon previous research that considered BW and falls in people with MS that relied on retrospective fall data,21 which may underestimate fall incidents.38 To enhance our understanding of the relationship between BW and falls in people with MS, future research should involve a larger sample size for improved interpretability and greater insight into the sensitivity of BW as a fall detection tool.
Second, it is important to note that our study focused on relapsing-remitting MS, which may limit the generalizability of our findings to other MS subtypes.
Third, despite being instructed to wear the Fitbit device as much as possible, some participants wore the device less than others, impacting physical activity outcomes. However, as can be observed in Table 1, the overall wear-time adherence rate was 91%.
Last, our study aimed to develop measurement properties for BW during the B-T25-FW and related metrics. Consequently, our study design revolved around walking tasks. However, it is crucial to emphasize that other factors, such as cognitive functioning (eg, information processing speed, attention, and visuospatial memory), may also influence motor function, including BW, and the occurrence of falls in people with MS.26,42-44
The B-T25-FW demonstrates excellent test-retest reliability and responsiveness, making it an effective tool for assessing lower limb function in people with MS. Various other BW metrics, including BW velocity, stride length, and double support time, also exhibit excellent test-retest reliability and responsiveness. However, these metrics should be interpreted and used with caution, as they indicated limited reliability in our sample of people with MS. The B-T25-FW and BW velocity show strong correlations with activity levels, particularly in very active minutes 3 and 6 months after the study visit. The B-T25-FW and BW velocity demonstrated modest correlations with prospective falls at the 3- and 6-month poststudy visits.
Overall, our study suggests that the B-T25-FW and BW metrics are effective and reliable in clinical use for evaluating functional mobility in people with MS. Our results hold significant clinical implications for people with MS by providing an evidence-based, quick, easy-to-administer, and sensitive assessment of lower extremity mobility in this population.
Backward walking metrics, including backward walking velocity, reliably assess multiple sclerosis mobility, facilitating treatment assessment and improving patient care.
Backward walking in multiple sclerosis shows modest correlations with future falls and physical activity, warranting further study.
We would like to thank all the participants who took part in our study.
Benedict RH, Cookfair D, Gavett R, et al. Validity of the minimal assessment of cognitive function in multiple sclerosis (MACFIMS). J Int Neuropsychol Soc. 2006;12(4):549-558. doi: 10.1017/s1355617706060723
Deloire MS, Ruet A, Hamel D, Bonnet M, Dousset V, Brochet B. MRI predictors of cognitive outcome in early multiple sclerosis. Neurology. 2011;76(13):1161-1167. doi: 10.1212/WNL.0b013e318212a8be
Gunn H, Creanor S, Haas B, Marsden J, Freeman J. Frequency, characteristics, and consequences of falls in multiple sclerosis: findings from a cohort study. Arch Phys Med Rehabil. 2014;95(3):538-545. doi: 10.1016/j.apmr.2013.08.244
Burns ER, Stevens JA, Lee R. The direct costs of fatal and non-fatal falls among older adults - United States. J Safety Res. 2016;58:99-103. doi: 10.1016/j.jsr.2016.05.001
Cameron MH, Thielman E, Mazumder R, Bourdette D. Predicting falls in people with multiple sclerosis: fall history is as accurate as more complex measures. Mult Scler Int. 2013;2013:496325. doi: 10.1155/2013/496325
Peterson EW, Cho CC, Finlayson ML. Fear of falling and associated activity curtailment among middle aged and older adults with multiple sclerosis. Mult Scler. 2007;13(9):1168-1175. doi: 10.1177/1352458507079260
Matsuda PN, Shumway-Cook A, Ciol MA, Bombardier CH, Kartin DA. Understanding falls in multiple sclerosis: association of mobility status, concerns about falling, and accumulated impairments. Phys Ther. 2012;92(3):407-415. doi: 10.2522/ptj.20100380
Gunn HJ, Newell P, Haas B, Marsden JF, Freeman JA. Identification of risk factors for falls in multiple sclerosis: a systematic review and meta-analysis. Phys Ther. 2013;93(4):504-513. doi: 10.2522/ptj.20120231
Ayvat E, Doğan M, Ayvat F, et al. Usefulness of the Berg Balance Scale for prediction of fall risk in multiple sclerosis. Neurol Sci. 2024;45(6):2801-2805. doi: 10.1007/s10072-024-07318-w
Karni A, Meyer G, Rey-Hipolito C, et al. The acquisition of skilled motor performance: fast and slow experience-driven changes in primary motor cortex. Proc Natl Acad Sci U S A. 1998;95(3):861-868. doi: 10.1073/pnas.95.3.861
Hackney ME, Earhart GM. Backward walking in Parkinson’s disease. Mov Disord. 2009;24(2):218-223. doi: 10.1002/mds.22330
Wajda DA, Sandroff BM, Pula JH, Motl RW, Sosnoff JJ. Effects of walking direction and cognitive challenges on gait in persons with multiple sclerosis. Mult Scler Int. 2013;2013:859323. doi: 10.1155/2013/859323
Peterson DS, Huisinga JM, Spain RI, Horak FB. Characterization of compensatory stepping in people with multiple sclerosis. Arch Phys Med Rehabil. 2016;97(4):513-521. doi: 10.1016/j.apmr.2015.10.103
Fritz NE, Worstell AM, Kloos AD, Siles AB, White SE, Kegelmeyer DA. Backward walking measures are sensitive to age-related changes in mobility and balance. Gait Posture. 2013;37(4):593-597. doi: 10.1016/j.gaitpost.2012.09.022
Edwards EM, Daugherty AM, Nitta M, Atalla M, Fritz NE. Backward walking sensitively detects fallers in persons with multiple sclerosis. Mult Scler Relat Disord. 2020;45:102390. doi: 10.1016/j.msard.2020.102390
Pickering RM, Grimbergen YA, Rigney U, et al. A meta-analysis of six prospective studies of falling in Parkinson’s disease. Mov Disord. 2007;22(13):1892-1900. doi: 10.1002/mds.21598
DeMark LA, Fox EJ, Manes MR, Conroy C, Rose DK. The 3-Meter Backward Walk Test (3MBWT): reliability and validity in individuals with subacute and chronic stroke. Physiother Theory Pract. 2023;39(12):2698-2705. doi: 10.1080/09593985.2022.2085638
Abit Kocaman A, Aydoğan Arslan S, Uğurlu K, Katırcı Kırmacı Zİ, Keskin ED. Validity and reliability of the 3-Meter Backward Walk Test in individuals with stroke. J Stroke Cerebrovasc Dis. 2021;30(1):105462. doi: 10.1016/j.jstrokecerebrovasdis.2020.105462
Söke F, Demirkaya Ş, Yavuz N, et al. The 3-m backward walk test: reliability and validity in ambulant people with multiple sclerosis. Int J Rehabil Res. 2022;45(3):209-214. doi: 10.1097/MRR.0000000000000530
Katirci Kirmaci Zİ, Adiguzel H, Erel S, Neyal AM, Neyal A, Ergun N. Validity and reliability of the 3-meter backward walk test in patients with multiple sclerosis. Mult Scler Relat Disord. 2022;63:103842. doi: 10.1016/j.msard.2022.103842
Bilek F, Demir CF. Validity and reliability of the 3-meter backward walk test in mildly disabled persons with multiple sclerosis. Mult Scler Relat Disord. 2022;58:103532. doi: 10.1016/j.msard.2022.103532
Polman CH, Reingold SC, Banwell B, et al. Diagnostic criteria for multiple sclerosis: 2010 revisions to the McDonald criteria. Ann Neurol. 2011;69(2):292-302. doi: 10.1002/ana.22366
Hohol MJ, Orav EJ, Weiner HL. Disease steps in multiple sclerosis: a longitudinal study comparing disease steps and EDSS to evaluate disease progression. Mult Scler. 1999;5(5):349-354. doi: 10.1177/135245859900500508
Learmonth YC, Motl RW, Sandroff BM, Pula JH, Cadavid D. Validation of Patient Determined Disease Steps (PDDS) scale scores in persons with multiple sclerosis. BMC Neurol. 2013;13:37. doi: 10.1186/1471-2377-13-37
Motl RW, Cohen JA, Benedict R, et al. Validity of the Timed 25-Foot Walk as an ambulatory performance outcome measure for multiple sclerosis. Mult Scler. 2017;23(5):704-710. doi: 10.1177/1352458517690823
Saymuah S, Laird H, Nitta M, Atalla M, Fritz NE. Motor, cognitive, and behavioral performance in middle-aged and older adults with multiple sclerosis. Top Geriatr Rehabil. 2019;35(3):199-208. doi: 10.1097/TGR.0000000000000235
Hadouiri N, Monnet E, Gouelle A, Decavel P, Sagawa Y. Evaluation of prolonged walking in persons with multiple sclerosis: reliability of the spatiotemporal walking variables during the 6-Minute Walk Test. Sensors (Basel). 2021;21(9):3075. doi: 10.3390/s21093075
Rao AK, Muratori L, Louis ED, Moskowitz CB, Marder KS. Spectrum of gait impairments in presymptomatic and symptomatic Huntington’s disease. Mov Disord. 2008;23(8):1100-1107. doi: 10.1002/mds.21987
How does my Fitbit device calculate active minutes? Fitbit. Accessed February 6, 2024. https://help.fitbit.com/articles/en_US/Help_article/1379.htm
How does my Fitbit device calculate calories burned? Fitbit. Accessed February 6, 2024. https://support.google.com/fitbit/answer/14237111?hl=en#zippy=%2Chow-does-my-fitbit-device-calculate-calories-burned
Shrout PE, Fleiss JL. Intraclass correlations: uses in assessing rater reliability. Psychol Bull. 1979;86(2):420-428. doi: 10.1037//0033-2909.86.2.420
Mehta S, Bastero-Caballero RF, Sun Y, et al. Performance of intraclass correlation coefficient (ICC) as a reliability index under various distributions in scale reliability studies. Stat Med. 2018;37(18):2734-2752. doi: 10.1002/sim.7679
Kocer B, Söke F, Ataoglu NEE, et al. The reliability and validity of the 3-m backward walk test in people with Parkinson’s disease. Ir J Med Sci. 2023;192(6):3063-3071. doi: 10.1007/s11845-023-03384-9
Phan-Ba R, Pace A, Calay P, et al. Comparison of the Timed 25-Foot and the 100- Meter Walk as performance measures in multiple sclerosis. Neurorehabil Neural Repair. 2011;25(7):672-679. doi: 10.1177/1545968310397204
Bethoux FA, Palfy DM, Plow MA. Correlates of the Timed 25 Foot Walk in a multiple sclerosis outpatient rehabilitation clinic. Int J Rehabil Res. 2016;39(2):134-139. doi: 10.1097/MRR.0000000000000157
Maritz CA, Silbernagel KG, Pohlig R. Relationship of backward walking to clinical outcome measures used to predict falls in the older population: a factor analysis. Phys Ther Rehabil. 2017;4(1):14. doi: 10.7243/2055-2386-4-14
Dibble LE, Lopez-Lennon C, Lake W, Hoffmeister C, Gappmaier E. Utility of disease-specific measures and clinical balance tests in prediction of falls in persons with multiple sclerosis. J Neurol Phys Ther. 2013;37(3):99-104. doi: 10.1097/NPT.0b013e3182a18460
Gelfand JM. Multiple sclerosis: diagnosis, differential diagnosis, and clinical presentation. Handb Clin Neurol. 2014;122:269-290. doi: 10.1016/B978-0-444-52001-2.00011-X
Mate KKV, Mayo NE. Clinically assessed walking capacity versus real-world walking performance in people with multiple sclerosis. Int J MS Care. 2020;22(3):143-150. doi: 10.7224/1537-2073.2019-047
Block VJ, Lizée A, Crabtree-Hartman E, et al. Continuous daily assessment of multiple sclerosis disability using remote step count monitoring. J Neurol. 2017;264(2):316-326. doi: 10.1007/s00415-016-8334-6
Block VJ, Waliman M, Xie Z, et al. Making every step count: minute-by-minute characterization of step counts augments remote activity monitoring in people with multiple sclerosis. Front Neurol. 2022;13:860008. doi: 10.3389/fneur.2022.860008
Drew M, Tippett LJ, Starkey NJ, Isler RB. Executive dysfunction and cognitive impairment in a large community-based sample with multiple sclerosis from New Zealand: a descriptive study. Arch Clin Neuropsychol. 2008;23(1):1-19. doi: 10.1016/j.acn.2007.09.005
Chiaravalloti ND, DeLuca J. Cognitive impairment in multiple sclerosis. Lancet Neurol. 2008;7(12):1139-1151. doi: 10.1016/S1474-4422(08)70259-X
Edwards EM, Daugherty AM, Fritz NE. Examining the influence of cognition on the relationship between backward walking and falls in persons with multiple sclerosis. Int J MS Care. 2023;25(2):51-55. doi: 10.7224/1537-2073.2021-130
CONFLICT OF INTEREST: The authors report no conflicts of interest.
FUNDING/SUPPORT: This study was supported by a pilot grant from the Consortium of Multiple Sclerosis Centers and the National Multiple Sclerosis Society - MB-2107-38295 (Mentor-Based Postdoctoral Fellowship in Rehabilitation Research).
PRIOR PRESENTATION: No prior presentations.