Publication

Research Article

Q1 | Volume 27

Resilience Among Caregivers of People With Multiple Sclerosis: Exploring the Influence of Personality Traits, Coping, and Caregiver Burden

CE Information

Activity Available Online: To access the article and evaluation online, go to https://www.highmarksce.com/mscare.

Target Audience: The target audience for this activity is physicians, advanced practice clinicians, nursing professionals, rehabilitation professionals, mental health professionals, social workers, and other health care providers involved in the treatment of patients with multiple sclerosis (MS).

Learning Objectives:

  • Evaluate how personality traits and caregiver characteristics influence quality of life and burden levels to identify MS caregivers needing additional support.
  • Develop targeted support strategies that consider individual caregiver traits to enhance resilience and reduce caregiver burden.

Accreditation: In support of improving patient care, this activity has been planned and implemented by the Consortium of Multiple Sclerosis Centers (CMSC) and Intellisphere, LLC. The CMSC is jointly accredited by the Accreditation Council for Continuing Medical Education, the Accreditation Council for Pharmacy Education, and the American Nurses Credentialing Center, to provide continuing education for the health care team.

This activity was planned by and for the health care team, and learners will receive 1.0 Interprofessional Continuing Education credit for learning and change.

Physicians: The CMSC designates this journal-based activity for a maximum of 1.0 AMA PRA Category 1 Credit(s)™. Physicians should claim only the credit commensurate with the extent of their participation in the activity.

Nurses: The CMSC designates this enduring material for 1.0 contact hour of nursing continuing professional development (none in the area of pharmacology).

Psychologists: This activity is awarded 1.0 CE credits.

Social Workers: As a jointly accredited organization, the CMSC is approved to offer social work continuing education by the Association of Social Work Boards Approved Continuing Education program. Organizations, not individual courses, are approved under this program. Regulatory boards are the final authority on courses accepted for continuing education credit. Social workers completing this course receive 1.0 general continuing education credits.

Disclosures: It is the policy of the CMSC to mitigate all relevant financial disclosures from planners, faculty, and other persons that can affect the content of this CE activity. For this activity, all relevant disclosures have been mitigated. Francois Bethoux, MD, editor in chief of the International Journal of MS Care (IJMSC), has served as physician planner for this activity. He has disclosed no relevant financial relationships. Alissa Mary Willis, MD, associate editor of IJMSC, has disclosed no relevant financial relationships. All authors have disclosed no relevant financial relationships.

The staff at IJMSC, CMSC, and Intellisphere, LLC, who are in a position to influence content have disclosed no relevant financial relationships. Laurie Scudder, DNP, NP, CMSC continuing education director, has served as a planner and reviewer for this activity. She has disclosed no relevant financial relationships.

Method of Participation:

Release date: January 1, 2025. Valid for credit through: January 1, 2027.

To receive CE credit, participants must:

  1. Review the continuing education information, including learning objectives and author disclosures.
  2. Study the educational content.
  3. Complete the evaluation, which is available at https://www. highmarksce.com/mscare.

Statements of Credit are awarded upon successful completion of the evaluation. There is no fee to participate in this activity.

Disclosure of Unlabeled Use: This educational activity may contain discussion of published and/or investigational uses of agents that are not approved by the US Food and Drug Administration. The CMSC and Intellisphere do not recommend the use of any agent outside of the labeled indications. The opinions expressed in the educational activity are those of the faculty and do not necessarily represent the views of the CMSC or Intellisphere.

Disclaimer: Participants have an implied responsibility to use the newly acquired information to enhance patient outcomes and their own professional development. The information presented in this activity is not meant to serve as a guideline for patient management. Any medications, diagnostic procedures, or treatments discussed in this publication should not be used by clinicians or other health care professionals without first evaluating their patients’ conditions, considering possible contraindications or risks, reviewing any applicable manufacturer’s product information, and comparing any therapeutic approach with the recommendations of other authorities.

Abstract

Background: Resilience has been recognized as a vital protective factor in coping with stress and adversity. Multiple sclerosis (MS) caregiving is a complex and demanding role, often characterized by challenges.

Methods: Caregivers of people with MS were recruited through health care professionals affiliated with the Jacobs MS Center for Treatment and Research in Buffalo, New York. Resilience was assessed by the Connor-Davidson Resilience Scale (CD-RISC-25) and the Health-Resilience-Stress Questionnaire (HRSQ). We examined the influence of personality traits (NEO Five-Factor Inventory-3), coping strategies (Brief Coping Orientation to Problems Experienced Inventory), quality of life (Adult Carer Quality of Life Questionnaire), and caregiver burden (Zarit Burden Interview) on resilience.

Results: In our study of 98 caregivers (70.4% men; average age, 60 years), 91.8% were partners of people with MS. Out of a maximum score of 100, CD-RISC-25 scores were an average (SD) of 75.5 (14.4) and HRSQ scores were an average of 74.8 (12.9). Quality of life was positively associated with both resilience measures (r=0.60 for CD-RISC-25; r=0.70 for HRSQ), whereas higher resilience was linked to lower caregiver burden (r=–0.40 for CD-RISC-25; r=–0.49 for HRSQ). CD-RISC-25 showed higher resilience negatively correlated with neuroticism (r=–0.65) and positively with extroversion (r=0.57) and conscientiousness (r=0.59). HRSQ also showed strong negative correlation with neuroticism (r=–0.76) and positive correlations with extroversion (r=0.60), conscientiousness (r=0.53), and agreeableness (r=0.24).

Conclusions: Caregivers for people with MS showed relatively high resilience levels, positively correlating with quality of life and reduced caregiver burden. Furthermore, resilience correlated inversely with neuroticism and positively with extroversion and conscientiousness. Future research should target personalized interventions, particularly for caregivers with low resilience.

From the Jacobs Comprehensive MS Treatment and Research Center, Department of Neurology (KSK, DJ, SPE, KP, BW-G) and Buffalo Neuroimaging Analysis Center (DJ), Jacobs School of Medicine and Biomedical Sciences, University at Buffalo, State University of New York, Buffalo, NY; Institute of Trauma and Trauma-Informed Care, School of Social Work, University at Buffalo, State University of New York, Buffalo, NY (SPK, SAG); Departments of Neurology and Psychiatry, Jacobs School of Medicine and Biomedical Sciences, University at Buffalo, State University of New York, Buffalo, NY (RHBB). Correspondence: Bianca Weinstock-Guttman, MD, Jacobs School of Medicine and Biomedical Sciences, University at Buffalo, 1010 Main Street, Buffalo, NY, 14202; email: bw8@buffalo.edu.

Practice Points
  • Understanding the resilience levels among caregivers of people with multiple sclerosis (MS) provides clinicians with valuable insights into the factors influencing caregiver well-being and the quality of care provided to people with MS.
  • Clinicians should be attentive to the impact of personality traits, such as the negative influence of neuroticism, on caregiver resilience. This awareness can inform personalized interventions to enhance caregiver support and well-being.
  • Clinicians should tailor resilience support strategies to account for variations in caregiver demographics, including gender, spousal status, and income level.

Multiple sclerosis (MS) is a chronic demyelinating, inflammatory, and neurodegenerative disorder with a variable disease course, currently affecting more than 2.8 million individuals globally.1 Despite an early disease onset, people with MS often have a long life expectancy.1,2 Given its unpredictable course and prolonged disease duration, care is often required over a period of decades. The majority of this care is provided by informal caregivers.3 In contrast to formal caregivers, those who provide informal care are not financially compensated and are often family members or friends. For the purposes of this paper, we will use the term caregivers to refer to informal caregivers.

The responsibilities of informal MS caregivers are diverse, ranging from practical tasks such as transportation and household upkeep to deeply personal care such as assisting with bathing and toileting in addition to providing essential emotional and social support.4 Managing these responsibilities while navigating the uncertain nature of the disease can create a stressful environment for caregivers.5 Findings from a recent study by McKenna et al6 showed that caregivers of people with MS experience various challenges, including feeling overwhelmed by loss, a lack of support from the community and health care systems, and difficulty taking care of themselves due to other responsibilities. These challenges can significantly affect their mental and emotional well-being, heightening the risk of mental health conditions such as depression and anxiety.7

One area of interest to combat these challenges is resilience. The term resilience, from the Latin resilire, meaning "to recoil or spring back,"8 is commonly defined as the multidimensional capacity to adapt, cope, and thrive in the face of adversity.8 It has emerged as a central concept related to illness, health, and caregiving.9 Findings from numerous studies have shown that resilience is associated with a range of positive outcomes, including better physical and mental health, improved quality of life, and increased caregiver satisfaction.10 With a better understanding of the concept, it has become evident that resilience is not a static characteristic but a set of skills, behaviors, and strategies that can be developed and enhanced over time, with opportunities for improvement through training and active interventions.11 Results from many studies have shown positive effects of interventions on enhancing resilience, but some found little to no difference.12,13 One possible explanation for this discrepancy is that individuals who already possess high levels of resilience may find it relatively more challenging to increase it further through an intervention.14 These findings emphasize the importance of personalized interventions tailored to individual caregiver needs, considering their existing resilience levels and other relevant factors, to optimize the effectiveness of support strategies.

Building upon the substantial body of research in caregiving for people with MS, as documented in comprehensive review studies,5,15-17 this study delves into a spectrum of influential factors. These factors include personality traits, coping strategies, and caregiver burden that may significantly shape and bolster caregiver resilience. By conducting this study, we aimed to provide a detailed perspective on the challenges and strengths of MS caregivers. Additionally, research on caregiver resilience can help to identify individuals who may be at increased risk of negative health outcomes due to their caregiving role. By identifying these individuals, health care providers can offer targeted support and interventions to help mitigate the negative impacts of caregiving on patients and caregivers alike.

Methods

Study Participants

Inclusion criteria for participation in the study were as follows: Participants needed to be 18 years or older, provide at least 10 hours of weekly care to people with MS, understand and respond in written English, and have an email address and access to an electronic device (eg, computer, tablet, or phone) for survey completion. Exclusion criteria included receiving nonfederal monetary compensation for caregiving services.

Caregivers were recruited through health care professionals affiliated with Jacobs MS Center for Treatment and Research in Buffalo, New York, during clinical appointments where they accompanied their partner, family member, or acquaintance with MS. Potential participants were identified by inquiring whether they provided any type of care for the patient with MS, which was then confirmed by the patient. For each patient, only their self-identified primary caregiver was included in the study to avoid potential duplication. An email address was collected upon confirmation of their caregiving role. These email addresses were then recorded in the REDCap system that hosted the survey. REDCap is a secure, web-based software platform designed to support data capture for research studies.18,19 Participants were subsequently contacted via email and received an initial invitation, followed by 3 reminders sent at 4-day intervals. They were encouraged to complete the entire survey in 1 session, although they had the option to save their progress and resume at their convenience. A total of 231 caregivers were approached for potential inclusion in the study. Of these, 105 participants completed the informed consent process, 98 initiated the online questionnaire, and 95 completed it. Data collection and participant recruitment for the study took place from August 2020 through March 2023, which coincided with the COVID-19 pandemic. The study was approved by the institutional review board of the University at Buffalo, and informed consent was obtained from all participants. Participants received $25 upon study completion.

Questionnaires

Resiliency was measured using the Connor-Davidson Resilience Scale (CD-RISC-25) and the Health-Resilience-Stress Questionnaire (HRSQ). The CD-RISC-2520 employs a 5-point scale, where participants indicate the extent to which they agree with 25 statements, ranging from 0 (not true at all) to 4 (true nearly all the time). Cumulative scores are computed, with 100 representing the highest level of resilience.

Sections A and B of the HRSQ21 were used as an additional measure of resilience. The HRSQ evaluates how well someone can handle and recover from stress and explores their resilience in the context of challenges arising from adversities and stress-related disturbances. Caregivers were tasked with evaluating 20 statements on a scale from 1 to 5. Cumulative scores were tallied, with 100 signifying the highest level of resilience.

This study used sections C through E as well as portions of sections F and G from the Institute for Medical Technology Assessment Valuation of Informal Care Questionnaire (iVICQ)22 to evaluate caregiver demographics and to measure the objective and subjective burdens associated with caregiving as well as the health and well-being effects of caregiving. Quality of life was assessed using the Adult Carer Quality of Life Questionnaire (AC-QOL)23 through 8 separate domains—support for caring, caring choice, caring stress, money matters, personal growth, sense of value, ability to care, and caring satisfaction—in addition to using a total sum score.

The NEO Five-Factor Inventory-3 (NEO-FFI-3)24 assesses personality traits based on the 5-factor model and measures 5 primary dimensions of personality: neuroticism, extroversion, openness to experience, agreeableness, and conscientiousness. To allow a standardized comparison, standardized t scores (with a mean of 50 and an SD of 10) were computed from the NEO-FFI-3 questionnaire raw scores; the t scores were based on published population norms for each sex.24 Based on previous literature,25 scores between 45 and 54 were considered average, scores of 44 or below were categorized as low, and scores of 55 or above were considered high.

Caregiver perceived burden and coping were assessed using the Zarit Burden Interview (ZBI).26 This 22-item questionnaire assesses the perceived burden experienced by caregivers in relation to their caregiving responsibilities. Lastly, the Brief Coping Orientation to Problems Experienced Inventory (Brief-COPE) questionnaire27 was used to assess coping strategies across 3 distinct categories: problem-focused coping, emotion-focused coping, and avoidant coping.

Statistical Analyses

Caregiver characteristics were summarized using descriptive statistics with means and SDs calculated. Correlations were carried out using Pearson r. Independent sample t tests and 1-way analysis of variance tests were used to examine the associations between personality traits and resilience. A 2-sided P of less than .05 was considered statistically significant. All statistical analyses were performed using IBM’s SPSS Statistics 28. Matplotlib version 3.7.1 was used for data visualization.

Results

Caregiver Characteristics

Of the 98 caregivers, 29 (29.6%) identified as women and 69 (70.4%) identified as men. Their average (SD) age was 60 years (12.2), similar to the average age of the patient with MS for whom the caregiver provided care, which was 59.2 years (12.3). The majority of caregivers (n = 89; 91.8%) indicated that they were a partner of the person with MS. The mean duration of caregiving was 16.1 years (10.8). A significant portion of caregivers (80.4%) held a college degree or higher level of education; 52 caregivers (53.6%) reported current employment in paid positions. Many caregivers fell into higher-income brackets, with 28.3% reporting an annual household income of $100,000 or greater, representing the highest proportion within the income ranges. See Table 1.

Table 1. Participant Demographics and Caregiver Characteristics

Table 1. Participant Demographics and Caregiver Characteristics

Caregiver Resilience and Well-Being

The assessment of resilience using the CD-RISC-25 showed a mean (SD) score of 75.5 (14.4) among the caregivers in our study; the mean score on the HRSQ was 74.8 (12.9). There was a significant correlation between the 2 resiliency questionnaires (r = 0.78; P < .001). The resiliency scores of the CD-RISC-25 and the HRSQ were not significantly associated with age or sex (r = 0.10, P = .347; and r = 0.03, P = .795, respectively).

Caregivers reported a mean (SD) happiness level of 75.7 (20.3) out of 100 and rated their caregiver situation at a mean happiness level of 82.3 (19.3) out of 100. However, the prospect of someone else taking over all caregiver tasks was met with lower average happiness, with a mean score of 35.8 (33.0) out of 100 (see Figure S1 for box plots with medians). Caregivers rated their own health with an average score of 79.9 (14.8) out of 100 and gave the health of the person with MS a mean score of 58.5 (19.9).

Figure S1. Caregivers' Reported Happiness Levels

Figure S1. Caregivers' Reported Happiness Levels

Table S1 shows how caregivers responded to questions regarding their well-being and the challenges they face. A substantial proportion of caregivers expressed high levels of fulfillment from their care tasks (n = 47; 50.0%), with the majority (n = 71; 75.5%) reporting no relational problems with the care receiver. Significant financial problems due to care tasks were reported by only a few caregivers (n = 2; 2.1%), whereas 17 (17.9%) reported some financial problems. Approximately half of the caregivers reported facing some challenges in their own mental (n = 47; 49.5%) or physical health (n = 46; 49.6%). Moreover, a considerable number of caregivers (n = 41; 44.1%) reported receiving no support from others in carrying out their MS care tasks.

Table S1. Caregiver Perspectives on Well-Being and Challenges

Table S1. Caregiver Perspectives on Well-Being and Challenges

Quality of Life and Caregiver Resiliency

The AC-QOL Questionnaire, measuring quality of life, had strong correlations with both the CD-RISC-25 (r = 0.60; P < .001) as well as the HRSQ (r = 0.70; P < .001), indicating that higher levels of resilience were associated with better quality of life for caregivers. Similarly, strong positive correlations were observed between resilience scores and specific domains of caregiver quality of life. The AC-QOL subdomains had somewhat stronger correlations with the HRSQ compared with the CD-RISC-25, especially in the caring stress score subdomain (r = 0.40 for CD-RISC-25 vs r = 0.55 for HRSQ). See Table 2.

Table 2. Correlations Between Resilience Measures and Demographics, Quality of Life, and Personality Traits in Caregivers of People With Multiple Sclerosis

Table 2. Correlations Between Resilience Measures and Demographics, Quality of Life, and Personality Traits in Caregivers of People With Multiple Sclerosis

Furthermore, caregiver resiliency demonstrated a positive correlation with the overall happiness score measured by the happiness slider of the iVICQ (r = 0.51, P < .001 for CD-RISC-25; r = 0.56, P < .001 for the HRSQ). This suggests that higher levels of resiliency are associated with increased overall happiness among caregivers.

Burden of Care and Caregiver Resiliency

To assess the association between caregiver resilience and caregiver’s perceived care burden, the CD-RISC-25 and the HRSQ were correlated to the ZBI. The mean sum (SD) of the ZBI was 19.9 (14.4). A score of 21 has been used as a cutoff to differentiate between low and high burden.28,29 Within this caregiver sample, 53 individuals (56.4%) scored below the cutoff, indicating low burden, whereas 41 individuals (43.6%) scored above the cutoff, indicating high burden. Significant differences in resilience levels were observed between the low burden group (CD-RISC-25: 69.8 ± 14.1; HRSQ: 68.4 ± 12.7) and the high burden group (CD-RISC-25: 79.9 ± 13.0; HRSQ: 80.2 ± 10.6; all P < .001). Further, a negative correlation was found between the total burden score and the resiliency measures (r = –0.40, P < .001 for CD-RISC-25; r = –0.49, P < .001 for HRSQ). This suggests that higher levels of caregiver resilience are associated with lower perceived burden of care.

Coping and Caregiver Resiliency

The Brief-COPE categorized caregivers’ coping into 3 areas, with scores ranging from 1 to 4. In problem-focused coping, which reflects a practical, problem-solving approach, caregivers scored an average (SD) of 2 (0.7). For emotion-focused coping, which entails coping strategies aimed at regulating emotions, caregivers scored 1.8 (0.5). The lowest scores were found in avoidant coping, with a mean of 1.4 (0.4), which is characterized by denial, behavioral disengagement, substance use, and self-distraction.

Both the CD-RISC-25 and the HRSQ showed no significant correlations with problem-focused coping (r = 0.07, P = .486; and r = –0.09, P = .409, respectively). Similarly, the CD-RISC-25 had no significant correlation with emotion-focused coping (r = –0.06; P = .602). However, the HRSQ did display a modest negative correlation with emotion-focused coping (r = –0.29; P = .006), indicating that higher resilience scores are associated with lower emotion-focused coping scores. Stronger negative correlations were observed between both the CD-RISC-25 and the HRSQ with the avoidant-coping measure (r = –0.36, P < .001; and r = –0.37, P < .001, respectively).

Personality Theme and Caregiver Resiliency

There were no significant differences between male and female caregivers in mean t scores for any of the 5 personality traits. Many caregivers (n=46; 48.9%) scored below average on neuroticism, with only 21 (22.3%) scoring high. A large majority of caregivers demonstrated average or high levels of extroversion (n=73; 77.7%). Similarly, the trait of openness was found to be at an average or above average level in 62 caregivers (66.0%). High levels of agreeableness were seen in 35 caregivers (37.2%), similar to the proportion of caregivers scoring high on conscientiousness (n=39; 41.5%).

Caregivers scoring low on neuroticism had a significantly higher mean (SD) CD-RISC-25 score of 82.6 (11.5) and a mean HRSQ score of 82.8 (9.6), whereas those in the high neuroticism group had a mean CD-RISC-25 score of 60.8 (10.8) and a mean HRSQ score of 58.7 (7.6; all P < .001). Conversely, those with high extroversion scores exhibited the highest level of resilience, measuring 82.4 (10.9) on the CD-RISC-25 and 80.9 (10.6) on the HRSQ, whereas those with low extroversion scores displayed a mean resilience level of 62.7 (11.6) on the CD-RISC-25 and 64.8 (12.2) on the HRSQ (all P < .001). There were no significant differences in mean level of resilience when looking at the traits of openness or agreeableness (overall group differences: P = .268 and P = .505, respectively, for the CD-RISC-25; P = .145 and P = .168, respectively, for the HRSQ). Similar to extroversion, there were significant group differences in low and high conscientiousness scores (low score of 59.8 ± 11.9 vs high score of 83.5 ± 10.3 for the CD-RISC-25; low score of 62.5 ± 8.8 vs high score of 82.0 ± 10.7 for the HRSQ; all P < .001).

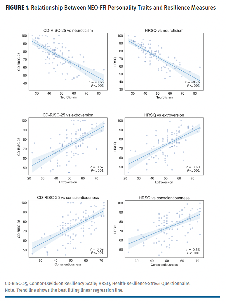
Table 2 provides an overview of the correlation between the 5 personality traits and caregiver resilience as measured by the CD-RISC-25 and the HRSQ. For the CD-RISC-25, higher levels of resilience were negatively correlated with neuroticism (r = –0.65; P < .001) and positively correlated with extroversion (r = 0.57; P < .001) and conscientiousness (r = 0.59; P < .001). However, no significant correlations were found between resilience and openness or agreeableness. Similarly, the HRSQ showed a strong negative correlation with neuroticism (r = –0.76; P < .001), positive correlations with extroversion (r = 0.60,; P < .001) and conscientiousness (r = 0.53; P < .001), and a weaker but still significant positive correlation with agreeableness (r = 0.24; P = .022). The significant correlations between the 2 resiliency measures and personality themes are depicted in Figure 1.

Figure 1. Relationship Between NEO-FFI Personality Traits and Resilience Measures

Figure 1. Relationship Between NEO-FFI Personality Traits and Resilience Measures

Discussion

The aim of this study was to investigate the resilience of caregivers of people with MS and to identify factors contributing to an elevated level of resilience. The assessment of resilience, quantified by the CD-RISC-25 and HRSQ, showed an average (SD) resilience score of 75.5 (14.4) and 74.8 (12.9) among the caregivers, respectively. The strong positive correlation between these measures (r = 0.78; P < .001) underscores the consistency in evaluating caregiver resilience. The relatively high levels of resilience among caregivers in this study are on par with general population samples measured in the United States (CD-RISC-25 range, 75.7-82.7).10

We found a strong correlation between caregiver resilience and quality of life, as measured by the AC-QOL. Caregivers with higher resiliency scores exhibited higher quality of life, a finding in line with that of prior studies.30-32 The fact that resilience and quality of life were well correlated was expected. Resilience plays an important role in how caregivers navigate stressors and setbacks. As a result, they may experience less stress and have a more positive outlook compared with their counterparts with lower resilience, leading to an improved overall quality of life. Evidence suggests an association between resiliency and social support, showing that resilient individuals often have strong social support networks.33 The AC-QOL subdomain of support for caring was also strongly correlated with both resiliency questionnaires. These meaningful social connections may contribute to overall feelings of happiness and satisfaction for caregivers. Interestingly, a substantial subset of caregivers in our study reported a lack of external support in their caregiving responsibilities. This finding brings to light the potential vulnerability of caregivers who might perform their caregiver duties with limited assistance.

The caregivers in this study exhibited a positive evaluation of their overall caregiver situation with high ratings, suggesting a relatively satisfactory experience in their caregiving role. Moreover, their expressed reluctance to the idea of someone else taking over all caregiver tasks indicates a deep commitment and emotional attachment to their caregiving responsibilities. This finding aligns with previous research, which has also noted that caregivers frequently experience a range of positive outcomes from their role, including personal growth, strengthened relationships with loved ones, increased empathy, and a greater appreciation of life.6,34 The strong sense of personal investment and attachment reported by caregivers aligns well with the demographic data revealing that more than 90% of the respondents were caring for their partners. This underscores the complex and nuanced nature of caregiving, which encompasses not only the practical tasks but also the emotional and relational dimensions that shape caregivers’ perceptions and attitudes toward their role.

We found an inverse correlation between the total burden score and both resiliency measures, suggesting a potential link, although further research is needed to explore this association and examine whether other factors are at play. Caregivers with higher resilience scores tended to report a lower burden associated with their caregiving responsibilities. Results from a study by Ong et al35 on caregivers of older adults in Singapore found a similar negative correlation between caregiver burden and resiliency. They concluded that perceived social support acts as a full mediator between resilience and caregiver burden, indicating that caregivers with higher levels of resilience are likely to perceive stronger social support, in turn reducing their burden. The positive influence of social support on resilience underscores the importance of fostering support systems for caregivers, as it can significantly affect their perceived burden of care and resilience.

Results of coping strategies as measured by the Brief-COPE show a significant negative correlation between resiliency and an avoidant coping style. Avoidant coping (such as distraction, disengagement, or substance use) is associated with poor physical and mental health outcomes.36,37 Contrary to findings from a study by Séoud et al,38 we found no association between problem-focused coping and either of the resiliency measures and only a modest negative correlation between emotional coping and resilience as measured by the HRSQ. This indicates that caregivers with higher resilience levels may be less likely to rely on emotion-focused coping strategies. Results from the study by Séoud et al found significant association between resilience and both problem-focused coping strategies as well as emotion-focused coping strategies in a group of caregivers of aging relatives. Of note is that the caregivers in our study were predominantly men, contrary to the sample of all female caregivers in the study by Séoud et al. Given that gender differences are well documented in preferred coping styles,39,40 this gender distinction might reflect divergent approaches to coping, with male caregivers in our study demonstrating lower reliance on emotion-focused coping as their resilience increased.

Personality traits have been recognized as major factors influencing happiness and psychological well-being.41 Personality traits are relatively stable and tend to remain consistent throughout one’s life.42 Caregivers scoring high on neuroticism, which is characterized by tendencies toward anxiety, worry, and negative emotionality, displayed lower levels of resilience. Individuals with high levels of neuroticism have a predisposition to feeling overwhelmed by stress.43 This suggests that caregivers with a higher disposition toward negative emotions might not be as well equipped to manage the demands of caregiving. This is in line with findings from previous studies, which have reported strong negative correlations between resilience and neuroticism.44,45 In contrast, extroversion is often linked with increased mental well-being, happiness, and quality of life.41,46 As expected, caregivers scoring high on extroversion in our study showed high levels of resilience. This finding highlights the potential association between extroversion and coping with the stressors and challenges that caregivers might face.

Conscientiousness is characterized by self-discipline, goal-oriented behavior, and the tendency to follow socially prescribed norms for impulse control. Research has consistently linked conscientiousness with numerous positive outcomes, including higher quality of life, better physical and mental health, and longer life expectancy.47 Results from our study found a nearly 40% increase in resilience scores as assessed by CD-RISC-25 when comparing caregivers in the lowest conscientiousness tertile with those in the highest. It is thought that conscientious individuals tend to engage in healthier behaviors, make more informed life choices, and experience reduced stress through increased coping abilities, ultimately leading to higher levels of resilience and overall well-being.45,47,48 Modest or nonsignificant differences were found between caregiver resilience and the personality domains of agreeableness and openness, which is in line with findings from other studies.45 Overall, these findings indicate that factoring in personality traits may be beneficial when examining resilience in caregivers, supporting the development of personalized support strategies.

Although this study took a comprehensive approach to investigating the interplay between resilience and various measures, the sample may not fully generalize to the broader caregiver population. Less than half of invited caregivers participated in the survey, a rate similar to the average of 44.1% reported in the meta-analysis by Wu et al49 of more than 1000 published studies using online surveys. Although no definitive threshold exists, lower response rates limit generalizability and may introduce selection bias if nonrespondents differ systematically. Caregivers experiencing high levels of burden or those with lower resilience may have been less inclined to participate, biasing the sample toward those coping relatively well. However, of those who initiated the survey, 97% completed it, suggesting good engagement among participants.

Caregivers in our study were mostly men, and the average age was 60 years. The age and gender distribution is consistent with previous research on caregivers of people with MS17 but different from that of caregivers for other illnesses.50 Moreover, caregivers in this study were primarily spouses of patients with MS and a notable proportion of them reported relatively high incomes. This raises important questions about the well-being and support systems for people with MS who lack a significant other or those with lower incomes.

The absence of data on disease severity of patients with MS limits our ability to explore potential correlations between caregiver resilience and the specific challenges posed by varying degrees of illness. The lack of race and ethnicity data is another limitation of this study. An individual’s racial and ethnic background can shape life experiences, including potential exposure to discrimination and social stressors that may affect resilience and caregiver burden.51 Future studies should include these data, as they could reveal disparities across groups and inform tailored interventions among underserved caregiver groups. Expanding the sample’s diversity and incorporating patient health data may provide a more nuanced understanding of the caregiver experience in the context of MS.

The reliance on self-report measures for personality traits, resilience, and other variables might introduce response bias or social desirability bias. To mitigate this to some extent for our primary outcome, we employed 2 assessments to measure resilience levels, the CD-RISC-25 and the HRSQ. The robust correlation and consistent results observed when analyzing either scale indicate the reliability of the resiliency scales. Furthermore, our study did not have a structured way of measuring social support among caregivers of people with MS. Given the importance of social support on caregiver burden52 and its mediating effect on resilience,35 the inclusion of a validated measure would have been beneficial. Another limitation involves the cross-sectional, correlational design of this study, preventing causal inferences and accounting for potential confounders that may influence the observed relationships. Future longitudinal studies should use more advanced statistical models to elucidate causal pathways, potential mediators, and how resilience among caregivers evolves over time.

Conclusions

This study deepens our understanding of caregiver resilience by exploring its associations with caregiver characteristics, well-being, quality of life, burden of care, coping mechanisms, and personality traits. Caregivers of people with MS showed relatively high resilience levels, which positively correlated with their quality of life and reduced caregiver burden. Our findings identified potential associations between personality traits and resilience in caregivers. Neuroticism was found to be negatively correlated with resilience, whereas extroversion and conscientiousness showed positive correlations. Future research should focus on the development and evaluation of personalized caregiver interventions, especially among caregivers with low baseline scores of resilience. These interventions could be designed with the specific aim of enhancing resilience and equipping caregivers with effective stress-coping strategies, thereby providing support for both caregivers and their care recipients.

Acknowledgments: The authors thank Anthony Yan, MD, for his contribution to the early study design.

Financial Disclosures: All authors have no relevant disclosures.

Funding: This study was supported by the University at Buffalo through the Buffalo Blue Sky 1.0 initiative in New York.

References

  1. Walton C, King R, Rechtman L, et al. Rising prevalence of multiple sclerosis worldwide: insights from the Atlas of MS, third edition. Mult Scler. 2020;26(14):1816-1821. doi:10.1177/1352458520970841

  2. Lunde HMB, Assmus J, Myhr KM, Bø L, Grytten N. Survival and cause of death in multiple sclerosis: a 60-year longitudinal population study. J Neurol Neurosurg Psychiatry. 2017;88(8):621-625. doi:10.1136/jnnp-2016-315238

  3. Zhang W, Sun H. Formal and informal care received by middle-aged and older adults with chronic conditions in Canada: CLSA data. PLoS One. 2020;15(7):e0235774. doi:10.1371/journal.pone.0235774

  4. Finlayson M, Cho C. A descriptive profile of caregivers of older adults with MS and the assistance they provide. Disabil Rehabil. 2008;30(24):1848-1857. doi:10.1080/09638280701707324

  5. Topcu G, Buchanan H, Aubeeluck A, Garip G. Caregiving in multiple sclerosis and quality of life: a meta-synthesis of qualitative research. Psychol Health. 2016;31(6):693-710. doi:10.1080/08870446.2016.1139112

  6. McKenna O, Fakolade A, Cardwell K, Pilutti LA. A continuum of languishing to flourishing: exploring experiences of psychological resilience in multiple sclerosis family caregivers. Int J Qual Stud Health Well-being. 2022;17(1):2135480. doi:10.1080/17482631.2022.2135480

  7. Pinquart M, Sörensen S. Differences between caregivers and noncaregivers in psychological health and physical health: a meta-analysis. Psychol Aging. 2003;18(2):250-267. doi:10.1037/0882-7974.18.2.250

  8. Resilience. Merriam-Webster. Accessed September 2023. https://www.merriam-webster.com/dictionary/resilience

  9. Palacio G C, Krikorian A, Gómez-Romero MJ, Limonero JT. Resilience in caregivers: a systematic review. Am J Hosp Palliat Care. 2020;37(8):648-658. doi:10.1177/1049909119893977

  10. Davidson JRT. Connor-Davidson Resilience Scale (CDRISC) Manual. August 19, 2018. Accessed January 2, 2024.

    https://cd-risc.com/CDRISC%20Manual%2008-19-18.pdf

  11. Kuldas S, Foody M. Neither resiliency-trait nor resilience-state: transactional resiliency/e. Youth Soc. 2022;54(8):1352-1376. doi:10.1177/0044118X211029309

  12. Liu JJW, Ein N, Gervasio J, Battaion M, Reed M, Vickers K. Comprehensive meta-analysis of resilience interventions. Clin Psychol Rev. 2020;82:101919. doi:10.1016/j.cpr.2020.101919

  13. Chmitorz A, Kunzler A, Helmreich I, et al. Intervention studies to foster resilience - a systematic review and proposal for a resilience framework in future intervention studies. Clin Psychol Rev. 2018;59:78-100. doi:10.1016/j.cpr.2017.11.002

  14. Peng L, Li M, Zuo X, et al. Application of the Pennsylvania resilience training program on medical students. Personal Individ Differ. 2014;61-62:47-51. doi:10.1016/j.paid.2014.01.006

  15. Appleton D, Robertson N, Mitchell L, Lesley R. Our disease: a qualitative meta-synthesis of the experiences of spousal/partner caregivers of people with multiple sclerosis. Scand J Caring Sci. 2018;32(4):1262-1278. doi:10.1111/scs.12601

  16. McKeown LP, Porter-Armstrong AP, Baxter GD. The needs and experiences of caregivers of individuals with multiple sclerosis: a systematic review. Clin Rehabil. 2003;17(3):234-248. doi:10.1191/0269215503cr618oa

  17. Rajachandrakumar R, Finlayson M. Multiple sclerosis caregiving: a systematic scoping review to map current state of knowledge. Health Soc Care Community. 2022;30(4):e874-e897. doi:10.1111/hsc.13687

  18. Harris PA, Taylor R, Thielke R, Payne J, Gonzalez N, Conde JG. Research electronic data capture (REDCap)--a metadata-driven methodology and workflow process for providing translational research informatics support. J Biomed Inform. 2009;42(2):377-381. doi:10.1016/j.jbi.2008.08.010

  19. Harris PA, Taylor R, Minor BL, et al; REDCap Consortium. The REDCap consortium: building an international community of software platform partners. J Biomed Inform. 2019;95:103208. doi:10.1016/j.jbi.2019.103208

  20. Connor KM, Davidson JRT. Development of a new resilience scale: the Connor-Davidson Resilience Scale (CD-RISC). Depress Anxiety. 2003;18(2):76-82. doi:10.1002/da.10113

  21. Wiet S. Health-Resiliency-Stress Questionnaire (HRSQ). Updated February 2019. Accessed January 2, 2024. https://www.pacesconnection.com/g/kansas-aces-connection/fileSendAction /fcType/5/fcOid/480951775951281499/fodoid/480951775951281498/HRSQ%20-%20%28OpenSourceOpenAge%29%20WITH%20Instructions%20%281-2019%29.pdf

  22. Hoefman RJ, Van Exel NJA, Brouwer WBF. iMTA Valuation of Informal Care Questionnaire. December 2011. Accessed January 2, 2024. https://www.imta.nl/assets/uploads/2022/01/iVICQ_UK_version_1.1.pdf

  23. Elwick H, Joseph S, Becker S, Becker F. Manual for the Adult Carer Quality of Life Questionnaire. The Princess Royal Trust for Carers; 2010.

  24. Costa P, McCrae RR. Revised NEO Personality Inventory and NEO Five-Factor Inventory. Psychological Assessment Resources; 1992.

  25. Givens JL, Frederick M, Silverman L, et al. Personality traits of centenarians’ offspring. J Am Geriatr Soc. 2009;57(4):683-685. doi:10.1111/j.1532-5415.2009.02189.x

  26. Zarit SH, Orr NK, Zarit JM. The Hidden Victims of Alzheimer’s Disease: Families Under Stress. New York University Press; 1985.

  27. Carver CS. You want to measure coping but your protocol’s too long: consider the brief COPE. Int J Behav Med. 1997;4(1):92-100. doi:10.1207/s15327558ijbm0401_6

  28. Cummings JL, Frank JC, Cherry D, et al. Guidelines for managing Alzheimer’s disease, part I: assessment. Am Fam Physician. 2002;65(11):2263-2272.

  29. Higginson IJ, Gao W, Jackson D, Murray J, Harding R. Short-form Zarit caregiver burden interviews were valid in advanced conditions. J Clin Epidemiol. 2010;63(5):535-542. doi:10.1016/j.jclinepi.2009.06.014

  30. Senders A, Bourdette D, Hanes D, Yadav V, Shinto L. Perceived stress in multiple sclerosis: the potential role of mindfulness in health and well-being. J Evid Based Complementary Altern Med. 2014;19(2):104-111. doi:10.1177/2156587214523291

  31. Zhang H, Zhao Q, Cao P, Ren G. Resilience and quality of life: exploring the mediator role of social support in patients with breast cancer. Med Sci Monit. 2017;23:5969-5979. doi:10.12659/msm.907730

  32. Üzar-Özçeti N YS, Dursun SI. Quality of life, caregiver burden, and resilience among the family caregivers of cancer survivors. Eur J Oncol Nurs. 2020;48:101832. doi:10.1016/j.ejon.2020.101832

  33. Jones SM, Woodward M, Mioshi E. Social support and high resilient coping in carers of people with dementia. Geriatr Nurs. 2019;40(6):584-589. doi:10.1016
    /j.gerinurse.2019.05.011

  34. Shim B, Barroso J, Davis LL. A comparative qualitative analysis of stories of spousal caregivers of people with dementia: negative, ambivalent, and positive experiences. Int J Nurs Stud. 2012;49(2):220-229. doi:10.1016/j.ijnurstu.2011.09.003

  35. Ong HL, Vaingankar JA, Abdin E, et al. Resilience and burden in caregivers of older adults: moderating and mediating effects of perceived social support. BMC Psychiatry. 2018;18(1):27. doi:10.1186/s12888-018-1616-z

  36. Boals A, Vandellen MR, Banks JB. The relationship between self-control and health: the mediating effect of avoidant coping. Psychol Health. 2011;26(8):1049-1062. doi:10.1080/08870446.2010.529139

  37. Dawson DL, Golijani-Moghaddam N. COVID-19: psychological flexibility, coping, mental health, and wellbeing in the UK during the pandemic. J Contextual Behav Sci. 2020;17:126-134. doi:10.1016/j.jcbs.2020.07.010

  38. Séoud JN, Ducharme F. Factors associated with resilience among female family caregivers of a functionally or cognitively impaired aging relative in Lebanon: a correlational study. J Res Nurs. 2015;20(7):567-579. doi:10.1177/1744987115599672

  39. Graves BS, Hall ME, Dias-Karch C, Haischer MH, Apter C. Gender differences in perceived stress and coping among college students. PLoS One. 2021;16(8):e0255634. doi:10.1371/journal.pone.0255634

  40. Cholankeril R, Xiang E, Badr H. Gender differences in coping and psychological adaptation during the COVID-19 pandemic. Int J Environ Res Public Health. 2023;20(2):993. doi:10.3390/ijerph20020993

  41. Lü W, Wang Z, Liu Y, Zhang H. Resilience as a mediator between extraversion, neuroticism and happiness, PA and NA. Personal Individ Differ. 2014;63:128-133. doi:10.1016/j.paid.2014.01.015

  42. Cobb-Clark DA, Schurer S. The stability of Big-Five personality traits. Econ Lett. 2012;115(1):11-15. doi:10.1016/j.econlet.2011.11.015

  43. Widiger TA, Oltmanns JR. Neuroticism is a fundamental domain of personality with enormous public health implications. World Psychiatry. 2017;16(2):144-145. doi:10.1002/wps.20411

  44. Oshio A, Taku K, Hirano M, Saeed G. Resilience and Big Five personality traits: a meta-analysis. Personal Individ Differ. 2018;127:54-60. doi:10.1016/j.paid.2018.01.048

  45. de La Fuente J, González-Torres MC, Artuch-Garde R, Vera-Martínez MM, Martínez-Vicente JM, Peralta-S’anchez FJ. Resilience as a buffering variable between the Big Five components and factors and symptoms of academic stress at university. Front Psychiatry. 2021;12:600240. doi:10.3389/fpsyt.2021.600240

  46. Gale CR, Booth T, Mõttus R, Kuh D, Deary IJ. Neuroticism and extraversion in youth predict mental wellbeing and life satisfaction 40 years later. J Res Pers. 2013;47(6):687-697. doi:10.1016/j.jrp.2013.06.005

  47. Bogg T, Roberts BW. The case for conscientiousness: evidence and implications for a personality trait marker of health and longevity. Ann Behav Med. 2013;45(3):278-288. doi:10.1007/s12160-012-9454-6

  48. Penley JA, Tomaka J. Associations among the Big Five, emotional responses, and coping with acute stress. Personal Individ Differ. 2002;32(7):1215-1228. doi:10.1016/S0191-8869(01)00087-3

  49. Wu MJ, Zhao K, Fils-Aime F. Response rates of online surveys in published research: a meta-analysis. Comput Hum Behav Rep. 2022;7:100206. doi:10.1016/j.chbr.2022.100206

  50. Schulz R, Tompkins CA. Informal caregivers in the United States: prevalence, caregiver characteristics, and ability to provide care. In: National Research Council (US) Committee on the Role of Human Factors in Home Health Care. The Role of Human Factors in Home Health Care: Workshop Summary. National Academies Press; 2010. Accessed September 1, 2023. https://www.ncbi.nlm.nih.gov/books/NBK210048

  51. Liu C, Badana ANS, Burgdorf J, Fabius CD, Roth DL, Haley WE. Systematic review and meta-analysis of racial and ethnic differences in dementia caregivers’ well-being. Gerontologist. 2021;61(5):e228-e243. doi:10.1093/geront/gnaa028

  52. Yang Z, Tian Y, Fan Y, et al. The mediating roles of caregiver social support and self-efficacy on caregiver burden in Parkinson’s disease. J Affect Disord. 2019;256:302-308. doi:10.1016/j.jad.2019.05.064

Related Videos
IJMSC January 2026 Research
IJMSC December Research