Publication
Research Article
International Journal of MS Care
Author(s):
Activity Available Online: To access the article and evaluation online, go to https://www.highmarksce.com/mscare.
Target Audience: The target audience for this activity is physicians, advanced practice clinicians, nursing professionals, pharmacists, and other health care providers involved in the management of patients with multiple sclerosis (MS).
Learning Objectives:
Recognize the frequency of utilization of non-DMT medications by MS patients and integrate questions about their use into patient history.
Characterize and be mindful of the out-of-pocket cost burden of DMT and non-DMT medication use in patients with MS.
Accreditation Statement: In support of improving patient care, this activity has been planned and implemented by The Consortium of Multiple Sclerosis Centers (CMSC) and Intellisphere, LLC. CMSC is jointly accredited by the Accreditation Council for Continuing Medical Education (ACCME), the Accreditation Council for Pharmacy Education (ACPE), and the American Nurses Credentialing Center (ANCC), to provide continuing education for the health care team.


This activity was planned by and for the health care team, and learners will receive 0.5 Interprofessional Continuing Education (IPCE) credit for learning and change.
For Physicians: The Consortium of Multiple Sclerosis Centers designates this journal-based activity for a maximum of 0.5 AMA PRA Category 1 Credit(s)™. Physicians should claim only the credit commensurate with the extent of their participation in the activity.
For Nurses: This activity is awarded 0.5 contact hours of nursing continuing professional development (NCPD) (0.5 of these credits are in the area of pharmacology).
For Pharmacists: This knowledge-based activity (UAN JA4008165-9999-22-020-H01-P) qualifies for 0.5 contact hours (0.05 CEUs) of continuing pharmacy education credit.
For Physician Assistants: The Consortium of Multiple Sclerosis Centers has been authorized by the American Academy of PAs (AAPA) to award AAPA Category 1 CME credit for activities planned in accordance with AAPA CME Criteria. This activity is designated for 0.5 AAPA Category 1 CME credits. Approval is valid until April 1, 2023. PAs should only claim credit commensurate with the extent of their participation.
It is the policy of the Consortium of Multiple Sclerosis Centers to mitigate all relevant financial disclosures from planners, faculty, and other persons that can affect the content of this CE activity. For this activity, all relevant disclosures have been mitigated.
Disclosures: Francois Bethoux, MD, editor in chief of the International Journal of MS Care (IJMSC), has served as Physician Planner for this activity. He has disclosed no relevant financial relationships. Alissa Mary Willis, MD, Associate Editor of IJMSC, has disclosed no relevant financial relationships. Daniel Hartung, PharmD, MPH, consults for the National Multiple Sclerosis Society and Sandoz Pharmaceuticals. Leorah Freeman, MD, PhD, has served as a consultant for Genentech, Celgene/Bristol Myers Squibb, EMD Serono, TG Therapeutics, and Novartis; and has received grant/program support from EMD Serono and Genentech.
The staff at IJMSC, CMSC, and Intellisphere, LLC who are in a position to influence content have disclosed no relevant financial relationships. Laurie Scudder, DNP, NP, Continuing Education Director CMSC, has served as a planner and reviewer for this activity. She has disclosed no relevant financial relationships.
Method of Participation:
Release Date: April 1, 2022; Valid for Credit through: April 1, 2023
In order to receive CE credit, participants must:
(1) Review the continuing education information, including learning objectives and author disclosures.
(2) Study the educational content.
(3) Complete the evaluation, which is available at https://www.highmarksce.com/mscare.
Statements of Credit are awarded upon successful completion of the evaluation. There is no fee to participate in this activity.
Disclosure of Unlabeled Use: This educational activity may contain discussion of published and/or investigational uses of agents that are not approved by the FDA. The CMSC and Intellisphere, LLC do not recommend the use of any agent outside of the labeled indications. The opinions expressed in the educational activity are those of the faculty and do not necessarily represent the views of the CMSC or Intellisphere, LLC.
Disclaimer: Participants have an implied responsibility to use the newly acquired information to enhance patient outcomes and their own professional development. The information presented in this activity is not meant to serve as a guideline for patient management. Any medications, diagnostic procedures, or treatments discussed in this publication should not be used by clinicians or other health care professionals without first evaluating their patients’ conditions, considering possible contraindications or risks, reviewing any applicable manufacturer’s product information, and comparing any therapeutic approach with the recommendations of other authorities.
Few studies have characterized the full spectrum of prescription drug use for individuals with multiple sclerosis (MS). The objective of this study was to describe patterns and expenditures for disease-modifying therapies (DMTs) and other prescription drugs among Medicare beneficiaries with MS.
Using Medicare claims data in 2014, we identified a cohort of Medicare beneficiaries with 12 months of continuous eligibility and 3 or more MS-related inpatient, outpatient, or prescription claims. We quantified the number, type, and costs of prescribed DMTs and other medications for MS-related symptoms. Medication costs were calculated according to whether beneficiaries received additional subsidies, which eliminate most out-of-pocket costs.
Of 43,283 Medicare beneficiaries identified with MS, 70% were DMT users. Most used self-administered DMTs (67%), and 3% used natalizumab; 93% received a supportive care medication. Among the 82% of individuals without subsidies, the annual median total and out-of-pocket DMT costs were $56,794 (interquartile range [IQR], $44,837–$62,038) and $4566 (IQR, $849–$5270), respectively. The most commonly used supportive care drugs were antidepressants (62%), opioid analgesics (50%), antispasticity drugs (47%), and anticonvulsants (46%). Annual median total and out-of-pocket costs for these drugs were $15,134 (IQR, $6571–$19,620) and $255 (IQR, $56–$877), respectively.
Most Medicare beneficiaries with MS using DMTs face considerable out-of-pocket costs. Beneficiaries also used a significant number of medications potentially used for MS-related symptoms, although total and out-of-pocket costs were modest.
Multiple sclerosis (MS) is a chronic neuroinflammatory demyelinating condition that affects more than 2.3 million individuals around the world.1 As a leading cause of nontraumatic disability, MS is associated with considerable morbidity and economic cost to patients and society. For patients with MS, total direct and indirect costs incurred over a lifetime can exceed $4 million.2 Because MS primarily affects younger individuals in their prime working years, indirect costs due to lost productivity are also substantial. Although estimates vary, recent data suggest that direct medical costs can exceed $68,000 (2020 US dollars) per year.3,4 Pharmaceuticals, and specifically MS-directed disease-modifying therapies (DMTs), account for more than two-thirds of the total direct cost of managing MS.2,4
Disease-modifying therapies have been shown to reduce relapses and slow progression to disability,5,6 and they are the foundation of treatment for individuals with most forms of MS.6,7 Although DMTs have been available to patients for more than 25 years, DMT-related costs and expenditures have increased rapidly during the past decade.8,9 Currently, list prices for many DMTs are near $100,000 per year, and, even for patients with insurance, out-of-pocket (OOP) costs for these therapies can be considerable.10,11 Individuals with MS are affected by a variety of neurologic symptoms, such as fatigue, depression, pain, spasticity, incoordination, and bladder and bowel dysfunction. Consequently, pharmaceuticals are frequently prescribed to both slow the progression and manage the symptoms associated with MS.
Despite this, there are few studies that characterize the totality of medication use in individuals with MS. A recent study by Kim et al4 noted that 7.4% of MS-related spending was for non-DMT prescriptions, but no other drug-specific information was reported. Using data from the US Medicare program, we sought to describe patterns of medication use, both those specifically for MS and those likely used to treat related symptoms.
We used administrative claims data from the US Medicare program in 2014 to identify a cohort of individuals with MS. We included individuals if they had a minimum of 1 full year of enrollment in Medicare Part A (hospital services), Part B (outpatient medical insurance), and Part D (outpatient pharmacy insurance). Claims data were linked through the beneficiary summary files to characterize demographic and enrollment details. We excluded individuals with dual Medicaid eligibility.
We identified individuals as having MS if they had any combination of 3 of the following: MS-related encounter claims as either an inpatient or an outpatient or a DMT prescription during the year.12 Inpatient or outpatient claims were considered MS-related if they had an International Classification of Diseases, Ninth Revision code of 340.xx. Disease-modifying therapies included interferon beta (IFNβ)-1a intramuscular (Avonex; Biogen), IFNβ-1b subcutaneous injection (Betaseron, Bayer HealthCare Pharmaceuticals; Extavia, Novartis Pharmaceuticals Corp), glatiramer acetate (Copaxone; Teva Pharmaceutical Industries Ltd), peginterferon β-1a (Plegridy; Biogen), fingolimod (Gilenya; Novartis Pharmaceuticals Corp), teriflunomide (Aubagio; Sanofi Genzyme), dimethyl fumarate (Tecfidera; Biogen), and natalizumab (Tysabri; Biogen). Natalizumab was identified using Part B claims because it is administered in a physician’s office or an infusion center.
First, we characterized demographic and enrollment details, including age, sex, race, geographic region, nature of eligibility (eg, old age, disability), and eligibility for a low-income subsidy (LIS). Certain Medicare beneficiaries with limited income or assets qualify for a Part D LIS, which effectively eliminates OOP costs for premiums, deductibles, and drug-specific cost-sharing or co-pays. We used the Centers for Medicare and Medicaid Services (CMS) Chronic Conditions Data Warehouse categories to identify other comorbid conditions. The CMS Chronic Conditions Data Warehouse categories include common or disabling chronic conditions using validated algorithms of diagnostic codes, Medicare Severity–Diagnosis-Related Group codes, and procedure codes.
We calculated both total drug and OOP expenditures for self-administered DMTs and drugs used for supportive care of symptoms and relapses separately and in aggregate using Part D pharmacy event data. We computed annual expenditures for each individual by summing the total amount paid, either by Medicare or the beneficiary (OOP) during the entire year. For each drug class component, we calculated the median and interquartile range (IQR) annual expenditures overall and by LIS status. Because DMT costs can be a function of both medication costs and duration of use, we summarized annual costs for a subset of individuals who were dispensed DMT prescriptions sufficient to cover 80% of the days in the year.
We also examined the prevalence and spending for other medications that are commonly used to treat symptoms of MS. We characterized the use of corticosteroids and corticotropin, drugs for bladder dysfunction and spasticity, opioid and nonopioid analgesics, stimulants, antidepressants, benzodiazepines, and anticonvulsants. We also summarized the use and costs for dalfampridine, which is indicated to improve walking in patients with MS. Specific drugs included in these classes can be found in Table S1, which is published in the online version of this article at IJMSC.org.
During the study period, the only FDA-approved infusible DMT was natalizumab (Tysabri). Infused drugs are typically covered under Medicare Part B. We used Healthcare Common Procedure Coding System code J2323 to identify Part B carrier claims for natalizumab and estimate spending by Medicare. Under Part B, beneficiaries pay 20% coinsurance for facility-administered drugs. However, most beneficiaries (77%) have secondary insurance (eg, Medicare supplements) to cover some or all cost-sharing incurred through Part B.13 These data are not provided in the Medicare Part B file, and we summarize OOP costs without supplemental coverage but recognize that most will pay zero OOP because of supplemental insurance.
All analyses were performed using SAS Enterprise Guide 7.1 software (SAS Institute Inc). This study was approved by the Oregon Health & Science University institutional reviewed board and CMS.
In 2014, we identified 43,283 Medicare beneficiaries with MS who met the study inclusion criteria. Demographics and comorbidities for these individuals are summarized in Table S2. Most individuals were female (76%) and White (87%). Approximately 54% of beneficiaries were eligible through Medicare’s disability benefit. Approximately 16% of beneficiaries with MS qualified for LIS benefits.
Of these individuals, 30,163 (70%) had 1 or more prescriptions for an MS DMT during the year. Patients using a DMT were younger (60 years vs 64 years; P < .001), more likely to be enrolled through disability (59% vs 43%; P < .001), and more likely to have LIS benefits (18% vs 10%; P < .001). The most common comorbid chronic conditions included hypertension (36%), hyperlipidemia (31%), depressive disorders (27%), arthritis (24%), anemia (19%), and fibromyalgia, chronic pain, and fatigue (18%; collapsed as 1 condition by Chronic Conditions Data Warehouse). Chronic conditions were uniformly less prevalent in DMT users compared with nonusers.
Aggregated pharmaceutical expenditures are summarized in Table S3. Among the 67% of beneficiaries using self-administered MS DMTs, the median total and OOP costs were $56,602 (IQR, $44,010–$61,981) and $3666 (IQR, $234–$5163), respectively. The annual cost for the 3% of individuals using natalizumab was $43,637 (IQR, $20,975–$52,029). Although reported OOP costs for natalizumab totaled $8727 per year, the actual cost to patients was likely lower because most individuals have supplemental insurance that would cover the 20% coinsurance for Part B. The median annual total and OOP costs for drugs used for MS-related symptoms were $947 (IQR, $238–$3128) and $112 (IQR, $30–$322), respectively. As expected, OOP costs for LIS beneficiaries were markedly lower than those for individuals without LIS benefits. Patients used a median of 4 (IQR, 2–6) distinct medications for MS-related symptoms throughout the year.
Table 1 summarizes total and OOP costs for each self-administered DMT reimbursed through the Part D program. The most commonly used DMT was glatiramer 20 mg (33%), followed by glatiramer 40 mg (22%), IFNβ-1a (21%), and dimethyl fumarate (20%).
Annual Self-administered Disease-Modifying Therapy Expenditures

Of the 29,141 DMT users, 15,683 (54%) had DMT prescriptions filled sufficient to cover 80% of days in the year. The DMTs with the highest annual median cost were IFNβ-1a subcutaneous ($62,262), followed by fingolimod ($62,163), and glatiramer 20 mg ($61,642). The DMT with the lowest annual median cost was Novartis’ IFNβ-1b (Extavia; $49,191). Among the 13,027 beneficiaries without LIS benefits (83%), median OOP costs were near $5000 a year for 6 of 9 DMTs. The lowest annual median OOP costs were for both IFNβ-1b products ($410 and $2733 for Novartis and Bayer, respectively) and the 40-mg version of glatiramer ($2618). In contrast, among the 2656 individuals with LIS benefits, median OOP costs for the year ranged from $4 to $13.
Use of DMTs also varied by LIS status. More than double the number of individuals with LIS were using fingolimod compared with non-LIS beneficiaries (14% vs 7%; P < .0001). However, use of IFNβ-1a intramuscular (29% vs 21%; P < .0001) and both glatiramer products (40 mg: 6.7% vs 4.8%; 20 mg: 21% vs 16%; P < .001 for both) were considerably higher among non-LIS beneficiaries.
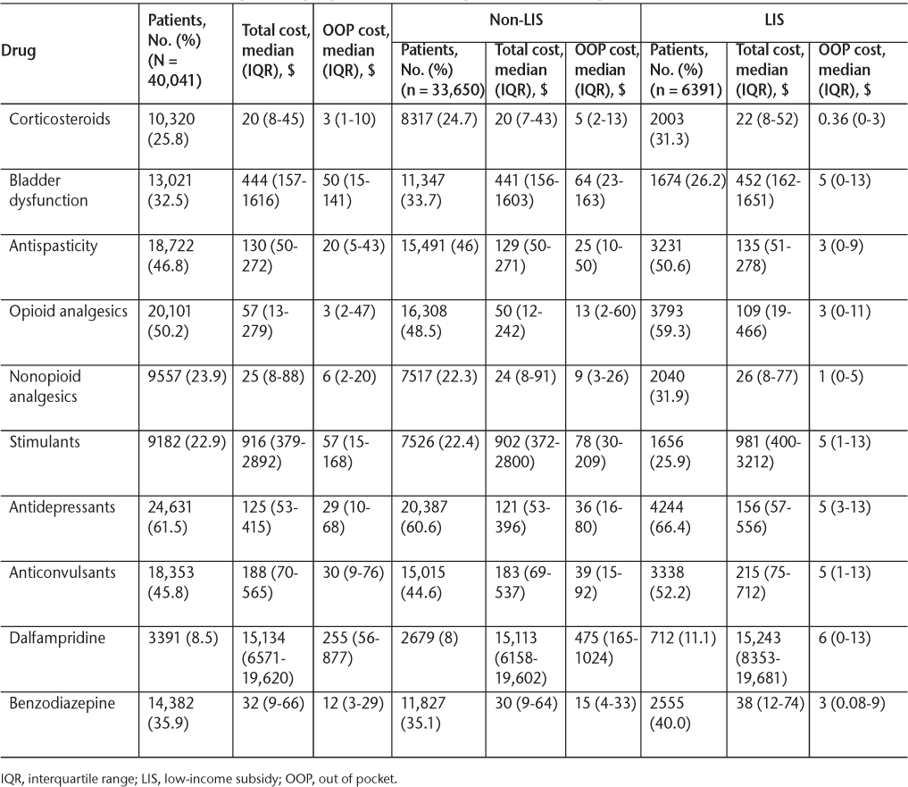
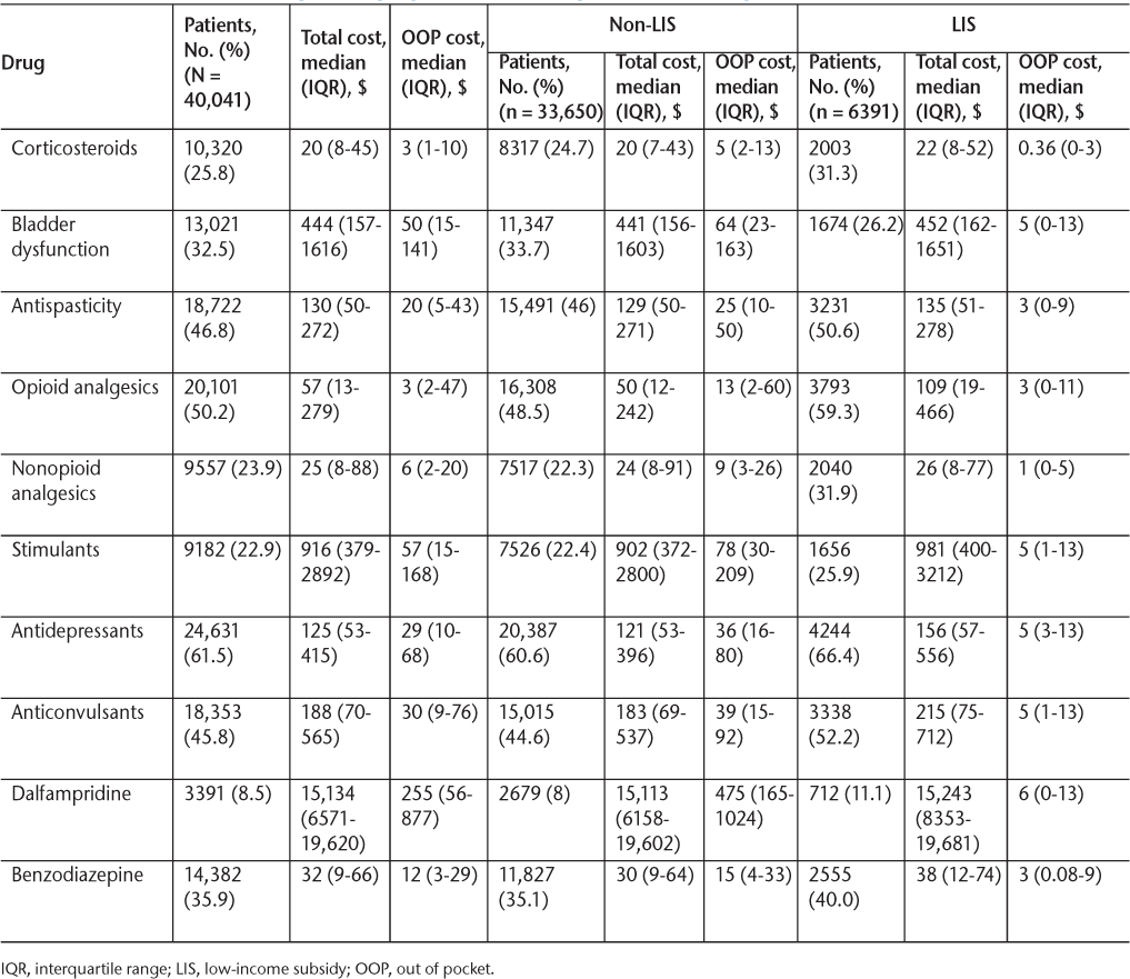
Table 2 describes medications used for symptomatic management of MS. The most commonly used classes of medication included antidepressants (62%), opioid analgesics (50%), antispasticity drugs (47%), and anticonvulsants (46%). The annual median cost for dalfampridine was $15,134 (IQR, $6571–$19,620). Annual median costs for other supportive medication classes ranged from $25 (IQR, $8–$88) for nonopioid analgesics to $916 (IQR, $379–$2892) for stimulants. Among individuals without LIS benefits, annual median OOP costs ranged from $475 for dalfampridine to less than $10 for corticosteroids and opioids. Except for drugs for bladder dysfunction, beneficiaries with LIS benefits were generally more likely to use medications for supportive care.
Annual Costs of Drugs for Symptomatic Management of Multiple Sclerosis

In this cross-sectional study, nearly 70% of Medicare beneficiaries with MS were using a DMT. Among those using a DMT, more than 80% did not receive LIS benefits and, therefore, likely paid considerable amounts OOP for their DMT. Among those not receiving LIS assistance, median OOP costs for the year were $4566. However, for patients who used DMTs consistently throughout the year, OOP costs exceeded $5000 for most DMTs. In addition, most individuals with MS also had prescriptions potentially used for symptomatic management of their condition. The median number of medications used for MS-related symptoms was 4, but one-quarter used 6 or more medications during the year. Nearly two-thirds of patients with MS were using antidepressants, and more than half had an opioid analgesic prescription filled during the year. Except for dalfampridine, annual median OOP costs for these medications were modest, ranging from $5 for corticosteroids to $78 for stimulants. At an annual median cost of $15,134, dalfampridine was the most expensive supportive medication, although fewer than 1 in 10 patients used medication. The annual median OOP cost for dalfampridine among those without LIS benefits was $475.
Few descriptive studies exist that document the scope of medications prescribed for symptomatic management of MS. In 1 prospective cohort study, 248 patients with MS recruited from specialty clinics in the United States and Australia were found to use a median of 3 medications (range, 0–19), including immunomodulating DMTs. The most commonly used drug classes were for the nervous (50%), musculoskeletal (40%), and genitourinary (25%) systems.14 In the present cohort, who were older and likely had a higher degree of disability, patients used a median of 4 drugs for symptomatic management of their MS, with 1 in 4 taking 6 or more medications. Medication polypharmacy has been shown to be a significant predictor of falls for patients with MS.14,15 The frequent use of opioid analgesics, which were prescribed to more than half the of beneficiaries overall and nearly two-thirds of those with LIS benefits, is of particular concern and deserves further study.
The high costs of MS DMTs have been well documented.2,9,10,16,17 In the Medicare program, outpatient prescription drugs are paid for through the Part D program, which imposes considerable cost-sharing without a cap on OOP costs. Patients often face very high OOP costs for expensive specialty medications, such as DMTs used for MS.18 In 2014, 30% of all Part D beneficiaries received LIS to assist with cost-sharing for prescription drugs.19 However, in the present sample of patients with MS, only 18% received this benefit, and consequently most were required to pay these high OOP costs. The OOP costs in the Medicare program are considerably higher than those in other commercial insurance programs.4,11 Kim et al4 reported that the mean annual OOP costs for DMTs was $1121 among patients with MS enrolled in employer-sponsored health plans in 2014. In a similar commercially insured population, Callaghan et al11 found cumulative OOP costs for patients in the first 2 years after diagnosis to be an average of $2238.
Several studies have documented how OOP costs can negatively affect DMT use for patients with MS. Among a similar cohort of Medicare beneficiaries with MS, Li et al20 found that transitioning from a lower cost-sharing phase (5% in catastrophic phase) of the Part D benefit to a higher cost-sharing phase (≥25% during deductible, coverage, or coverage gap phase) led to a 10% increase in month-long gaps in DMT use. Studies in other non-Medicare populations have found that high OOP costs are associated with reduced DMT initiation, medication abandonment at the pharmacy, and disruption of adherence.21–24 Among individuals with MS enrolled in commercial insurance plans, Shao et al22 found that every $100 increase in OOP costs above $890 for the year was associated with 2 fewer days of treatment during the year. It has also been consistently shown that poor DMT adherence is a risk factor for MS relapse, hospitalizations, and higher medical costs.25–30
The present study has limitations. This was a cross-sectional analysis that does not capture longitudinal changes in the economic burden of MS over a prolonged period. This is particularly important in an older population of patients who may opt to discontinue their DMT because of futility, adverse effects, or costs.31 The present analysis was restricted to fee-for-service Medicare beneficiaries 2014 and, thus, may not be generalizable to patients with MS who either remain in the workforce or have coverage through a spouse or other public insurers, such as Medicaid or the Department of Veterans Affairs. Although most patients with MS have private, commercially provided health plans, approximately one-third are covered by Medicare.32 Our estimates of total medication costs do not include any proprietary rebates or discounts paid by the pharmaceutical industry and, therefore, likely overestimate net costs to the Medicare program. However, OOP costs reported are accurate because cost-sharing incurred throughout the Part D benefit structure is directly based on medication list price, before any discounts or rebates are applied. Also, annual costs for those taking a DMT were based on a subset (53%) of patients with DMTs available to cover 80% of the days in the year and would not reflect costs incurred if DMTs were started later in the year. Patients with Medicare are not eligible to take advantage of any manufacturer-provided co-pay assistance programs to reduce OOP costs.33 However, Medicare beneficiaries are permitted to access patient assistance programs that are run through charitable organizations or state-based programs. Although there are few studies that characterize how commonly these programs are used, a recent analysis of spending on the top 100 branded drugs in the Part D program found that charitable assistance programs offset less than 3% of the total OOP costs for non-LIS beneficiaries.34 The OOP costs for the 3% of individuals using natalizumab are likely an overestimate because most Medicare beneficiaries also have supplemental insurance that would cover the 20% coinsurance amounts required by Part B.13 Another limitation concerns attribution of medications that are potentially used to treat symptoms of MS. Because pharmacy claims data lack information on indication, it is challenging to attribute specific prescriptions to discrete symptoms. Finally, the present data reflect DMT and other prescription drug use from 2014. There have been numerous DMT approvals since 2014, including the approval of generic versions of glatiramer acetate and dimethyl fumarate. Although the initial release of generic glatiramer had modest effects on program spending and patient OOP costs, more recent price reductions have likely greatly reduced the financial burden for patients.35–37
In summary, we find that most individuals with MS in the Medicare program likely face a considerable economic barrier when prescribed a DMT. Most of these beneficiaries also take a multitude of other drugs to manage symptoms associated with MS. Although the incremental costs for these medications is modest, the extent of their use should be examined more closely, especially for drugs with safety concerns. Given the ongoing and evolving opioid crisis, future research should examine the scope and intensity of prescription opioid use in this population.
A major contributing factor to the high OOP cost burden felt by Medicare beneficiaries is attributable to Part D’s design and specifically Part D’s coverage gap (“donut hole”), where patients were historically required to pay 100% of their drug costs. Reforms enacted through the Affordable Care Act sought to reduce the OOP cost burden for patients by gradually closing the Part D coverage gap between 2010 and 2020.38 However, the net effect of closure of coverage gap seems to have been negated because of simultaneous rapid increases in DMT prices over the same period.37 Prices of DMTs continue to rise, and several DMTs now approach or exceed $100,000 annually.39 In the absence of additional federal legislation aimed at capping OOP costs,40 most Medicare beneficiaries with MS will continue to pay thousands of dollars OOP a year for DMTs to manage their condition.
Medicare beneficiaries with multiple sclerosis are commonly prescribed disease-modifying therapies (DMTs) and can face high out-of-pocket costs.
In addition to their DMT, these individuals are also prescribed numerous drugs for supportive care, although the out-of-pocket costs for these medications are more modest.
Noseworthy JH, Lucchinetti C, Rodriguez M, Weinshenker BG. Multiple sclerosis. N Engl J Med. 2000; 343( 13): 938– 952. doi: 10.1056/nejm200009283431307
Owens GM, Olvey EL, Skrepnek GH, Pill MW. Perspectives for managed care organizations on the burden of multiple sclerosis and the cost-benefits of disease-modifying therapies. J Manag Care Pharm. 2013; 19( 1) (suppl A): S41– S53. doi: 10.18553/jmcp.2013.19.s1.S41
Adelman G, Rane SG, Villa KF. The cost burden of multiple sclerosis in the United States: a systematic review of the literature. J Med Econ. 2013; 16( 5): 639– 647. doi: 10.3111/13696998.2013.778268
Kim Y, Krause TM, Blum P, Freeman L. Disease modifying therapies continue to drive up health care cost among individuals with multiple sclerosis. Mult Scler Relat Disord. 2019; 30: 69– 75. doi: 10.1016/j.msard.2019.02.006
Montalban X, Gold R, Thompson AJ, . ECTRIMS/EAN guideline on the pharmacological treatment of people with multiple sclerosis. Mult Scler J. 2018; 24( 2): 96– 120. doi: 10.1177/1352458517751049
Rae-Grant A, Day GS, Marrie RA, . Comprehensive systematic review summary: disease-modifying therapies for adults with multiple sclerosis: report of the Guideline Development, Dissemination, and Implementation Subcommittee of the American Academy of Neurology. Neurology. 2018; 90( 17): 789– 800. doi: 10.1212/wnl.0000000000005345
Rae -Grant A, Day GS, Marrie RA, . Practice guideline recommendations summary: disease-modifying therapies for adults with multiple sclerosis: report of the Guideline Development, Dissemination, and Implementation Subcommittee of the American Academy of Neurology. Neurology. 2018; 90( 17): 777– 788. doi: 10.1212/wnl.0000000000005347
Hartung DM, Bourdette DN, Ahmed SM, Whitham RH. The cost of multiple sclerosis drugs in the US and the pharmaceutical industry: too big to fail? Neurology . 2015; 84( 21): 2185– 2192. doi: 10.1212/wnl.0000000000001608
San-Juan-Rodriguez A, Good CB, Heyman RA, Parekh N, Shrank WH, Hernandez I. Trends in prices, market share, and spending on self-administered disease-modifying therapies for multiple sclerosis in Medicare Part D. JAMA Neurol. 2019; 76( 11): 1386– 1390. doi: 10.1001/jamaneurol.2019.2711
Hartung DM, Johnston KA, Irwin A, Markwardt S, Bourdette DN. Trends in coverage for disease-modifying therapies for multiple sclerosis in Medicare Part D. Health Affairs. 2019; 38( 2): 303– 312. doi: 10.1377/hlthaff.2018.05357
Callaghan BC, Reynolds E, Banerjee M, . Out-of-pocket costs are on the rise for commonly prescribed neurologic medications. Neurology. 2019; 92( 22): e2604– e2613. doi: 10.1212/wnl.0000000000007564
Culpepper WJ II, Ehrmantraut M, Wallin MT, Flannery K, Bradham DD. Veterans Health Administration multiple sclerosis surveillance registry: the problem of case-finding from administrative databases. J Rehabil Res Dev. 2006; 43( 1): 17– 24. doi: 10.1682/jrrd.2004.09.0122
Wright B, Dusetzina SB, Upchurch G. Medicare’s variation in out-of-pocket costs for prescriptions: the irrational examples of in-hospital observation and home infusion. J Am Geriatr Soc. 2018; 66( 12): 2249– 2253. doi: 10.1111/jgs.15576
Cameron MH, Karstens L, Hoang P, Bourdette D, Lord S. Medications are associated with falls in people with multiple sclerosis: a prospective cohort study. Int J MS Care. 2015; 17( 5): 207– 214. doi: 10.7224/1537-2073.2014-076
Comber L, Quinn G, McGuigan C, Galvin R, Coote S. Medication usage and falls in people with multiple sclerosis. Mult Scler. 2018; 24( 7): 995– 998. doi: 10.1177/1352458517731912
Hartung DM, Bourdette D. Addressing the rising prices of disease-modifying therapies for multiple sclerosis. JAMA Neurol. 2019; 76( 11): 1285– 1287
Hartung DM. Economics and cost-effectiveness of multiple sclerosis therapies in the USA. Neurotherapeutics. 2017; 14( 4): 1018– 1026. doi: 10.1007/s13311-017-0566-3
Cubanski J, Koma W, Neuman T. The out-of-pocket cost burden for specialty drugs in Medicare Part D in 2019. 2019. Accessed February 1, 2019. http://files.kff.org/attachment/Issue-Brief-the-Out-of-Pocket-Cost-Burden-for-Specialty-Drugs-in-Medicare-Part-D-in-2019
Hoadley J, Summer L, Hargrave E, Cubanski J, Neuman T. Medicare Part D in its ninth year: the 2014 marketplace and key trends, 2006–2014. August 18, 2014. Accessed June 29, 2020. https://www.kff.org/medicare/report/medicare-part-d-in-its-ninth-year-the-2014-marketplace-and-key-trends-2006-2014/
Li P, Hu T, Yu X, . Impact of cost-sharing increases on continuity of specialty drug use: a quasi-experimental study. Health Serv Res. 2018; 53( suppl 1): 2735– 27577. doi: 10.1111/1475-6773.12744
Romley J, Goldman D, Eber M, Dastani H, Kim E, Raparla S. Cost-sharing and initiation of disease-modifying therapy for multiple sclerosis. Am J Manag Care. 2012; 18( 8): 460– 464.
Shao H, Stoecker C, Monnette AM, Shi L. Cost sharing of disease-modifying treatments (DMTs) as policy lever to improve DMTs’ access in multiple sclerosis. Value Health. 2018; 21( 9): 1083– 1089. doi: 10.1016/j.jval.2017.10.025
Dor A, Lage MJ, Tarrants ML, Castelli-Haley J. Cost sharing, benefit design, and adherence: the case of multiple sclerosis. Adv Health Econ Health Serv Res. 2010; 22: 175– 193. doi: 10.1108/s0731-2199(2010)0000022011
Gleason PP, Starner CI, Gunderson BW, Schafer JA, Sarran HS. Association of prescription abandonment with cost share for high-cost specialty pharmacy medications. J Manag Care Pharm. 2009; 15( 8): 648– 658. doi: 10.18553/jmcp.2009.15.8.648
Cohen BA, Coyle PK, Leist T, Oleen-Burkey MA, Schwartz M, Zwibel H. Therapy optimization in multiple sclerosis: a cohort study of therapy adherence and risk of relapse. Mult Scler Relat Disord. 2015; 4( 1): 75– 82. doi: 10.1016/j.msard.2014.09.214
Ivanova JI, Bergman RE, Birnbaum HG, Phillips AL, Stewart M, Meletiche DM. Impact of medication adherence to disease-modifying drugs on severe relapse, and direct and indirect costs among employees with multiple sclerosis in the US. J Med Econ. 2012; 15( 3): 601– 609. doi: 10.3111/13696998.2012.667027
Steinberg SC, Faris RJ, Chang CF, Chan A, Tankersley MA. Impact of adherence to interferons in the treatment of multiple sclerosis: a non-experimental, retrospective, cohort study. Clin Drug Investig. 2010; 30( 2): 89– 100. doi: 10.2165/11533330-000000000-00000
Oleen-Burkey MA, Dor A, Castelli-Haley J, Lage MJ. The relationship between alternative medication possession ratio thresholds and outcomes: evidence from the use of glatiramer acetate. J Med Econ. 2011; 14( 6): 739– 747. doi: 10.3111/13696998.2011.618517
Tan H, Cai Q, Agarwal S, Stephenson JJ, Kamat S. Impact of adherence to disease-modifying therapies on clinical and economic outcomes among patients with multiple sclerosis. Adv Ther. 2011; 28( 1): 51– 61. doi: 10.1007/s12325-010-0093-7
Burks J, Marshall TS, Ye X. Adherence to disease-modifying therapies and its impact on relapse, health resource utilization, and costs among patients with multiple sclerosis. Clinicoecon Outcomes Res. 2017; 9: 251– 260. doi: 10.2147/ceor.S130334
Butler M, Forte ML, Schwehr N, Carpenter A, Kane RL. Decisional Dilemmas in Discontinuing Prolonged Disease-Modifying Treatment for Multiple Sclerosis . Rockville, MD: Agency for Healthcare Research and Quality; 2015.
Owens GM. Economic burden of multiple sclerosis and the role of managed care organizations in multiple sclerosis management. Am J Manag Care. 2016; 22( 6)( suppl): s151– s158.
Ross JS, Kesselheim AS. Prescription-drug coupons: no such thing as a free lunch. N Engl J Med. 2013; 369( 13): 1188– 1189. doi: 10.1056/NEJMp1301993
Charitable assistance in Medicare Part D. 2020. Accessed September 20, 2021. https://avalere.com/insights/charitable-assistance-covers-a-small-share-of-part-d-non-lis-oop-costs
Hartung DM, Johnston KA, Geddes J, Bourdette DN. Effect of generic glatiramer acetate on spending and use of drugs for multiple sclerosis. Neurology. 2020; 94( 13): e1407– e1414. doi: 10.1212/wnl.0000000000008936
Rome BN, Tessema FA, Kesselheim AS. US spending associated with transition from daily to 3-times-weekly glatiramer acetate. JAMA Intern Med. 2020; 180( 9): 1165– 1172. doi: 10.1001/jamainternmed.2020.2771
Hartung DM, Johnston KA, Bourdette DN, Chen R, Tseng CW. Closing the Part D coverage gap and out-of-pocket costs for multiple sclerosis drugs. Neurol Clin Pract. 2021; 11( 4): 298– 303. doi: 10.1212/CPJ.0000000000000929
Donohue JM, Huskamp HA. Doughnuts and discounts: changes to Medicare Part D under the Bipartisan Budget Act of 2018. N Engl J Med. 2018; 378( 21): 1957– 1960. doi: 10.1056/NEJMp1802159
National Multiple Sclerosis Society. Access to MS medications. Accessed June 29, 2020. https://www.nationalmssociety.org/NationalMSSociety/media/MSNationalFiles/Advocacy/2020-PPC-Access-to-MS-Meds-Leavebehind-DONE_1.pdf?ext=.pdf
Dusetzina SB, Keating NL, Huskamp HA. Proposals to redesign Medicare Part D: easing the burden of rising drug prices. N Engl J Med. 2019; 381( 15): 1401– 1404. doi: 10.1056/NEJMp1908688
Financial Disclosure: Dr Hartung consults for the National Multiple Sclerosis Society and Sandoz Pharmaceuticals. Drs Bourdette, McGregor, and Johnston declare no conflicts of interest.
Funding/Support: This work was supported by the National Multiple Sclerosis Society.